

علم الكيمياء

تاريخ الكيمياء والعلماء المشاهير

التحاضير والتجارب الكيميائية

المخاطر والوقاية في الكيمياء

اخرى

مقالات متنوعة في علم الكيمياء

كيمياء عامة


الكيمياء التحليلية

مواضيع عامة في الكيمياء التحليلية

التحليل النوعي والكمي

التحليل الآلي (الطيفي)

طرق الفصل والتنقية


الكيمياء الحياتية

مواضيع عامة في الكيمياء الحياتية

الكاربوهيدرات

الاحماض الامينية والبروتينات

الانزيمات

الدهون

الاحماض النووية

الفيتامينات والمرافقات الانزيمية

الهرمونات


الكيمياء العضوية

مواضيع عامة في الكيمياء العضوية

الهايدروكاربونات

المركبات الوسطية وميكانيكيات التفاعلات العضوية

التشخيص العضوي

تجارب وتفاعلات في الكيمياء العضوية


الكيمياء الفيزيائية

مواضيع عامة في الكيمياء الفيزيائية

الكيمياء الحرارية

حركية التفاعلات الكيميائية

الكيمياء الكهربائية


الكيمياء اللاعضوية

مواضيع عامة في الكيمياء اللاعضوية

الجدول الدوري وخواص العناصر

نظريات التآصر الكيميائي

كيمياء العناصر الانتقالية ومركباتها المعقدة


مواضيع اخرى في الكيمياء

كيمياء النانو

الكيمياء السريرية

الكيمياء الطبية والدوائية

كيمياء الاغذية والنواتج الطبيعية

الكيمياء الجنائية


الكيمياء الصناعية

البترو كيمياويات

الكيمياء الخضراء

كيمياء البيئة

كيمياء البوليمرات

مواضيع عامة في الكيمياء الصناعية

الكيمياء الاشعاعية والنووية
Parallel or Side Reactions
المؤلف:
Arun Bahl, B.S. Bahl and G.D.Tuli
المصدر:
Essential Physical Chemistry
الجزء والصفحة:
p 761
30-9-2018
1199
Parallel or Side Reactions
In these reactions the reacting substance follows two or more paths to give two or more products. The preferential rate of such may be changed by varying the conditions like pressure, temperature or catalyst. The reaction in which the maximum yield of the products is obtained is called the main or major reaction while the other reaction (or reactions) are called side or parallel reactions. For example,

In the above reaction the reactant A gives two products B and C separately in two different reactions with rate constants k1 and k2 respectively.
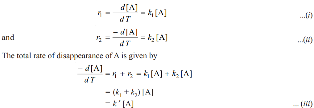
If k1 > k2 the reaction A ⎯→B will be the major reaction and A ⎯→C will be the side or parallel reaction. Let us assume that both these reactions are of first order and concentration of A is [A] at the time t. The differential rate expressions are

where k′ is the first order rate constant. It is equal to the sum of the two constants k1 and k2 of two side reactions.
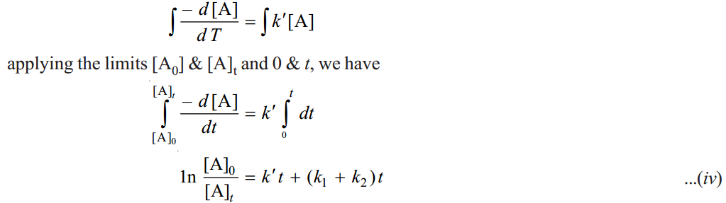
Integrating equation (iii), we get

where [A]0 is the initial concentration of the reactant A and [A]t is concentration of A at time t.
The ratio of the rates of two side reactions is obtained by dividing equations (i) by (ii), we have

From equations (iv) and (v) we can calculate the individual rate constant k1 and k2.
الاكثر قراءة في حركية التفاعلات الكيميائية
اخر الاخبار
اخبار العتبة العباسية المقدسة
الآخبار الصحية

قسم الشؤون الفكرية يصدر كتاباً يوثق تاريخ السدانة في العتبة العباسية المقدسة
"المهمة".. إصدار قصصي يوثّق القصص الفائزة في مسابقة فتوى الدفاع المقدسة للقصة القصيرة
(نوافذ).. إصدار أدبي يوثق القصص الفائزة في مسابقة الإمام العسكري (عليه السلام)