
تاريخ الفيزياء

علماء الفيزياء


الفيزياء الكلاسيكية

الميكانيك

الديناميكا الحرارية


الكهربائية والمغناطيسية

الكهربائية

المغناطيسية

الكهرومغناطيسية


علم البصريات

تاريخ علم البصريات

الضوء

مواضيع عامة في علم البصريات

الصوت


الفيزياء الحديثة


النظرية النسبية

النظرية النسبية الخاصة

النظرية النسبية العامة

مواضيع عامة في النظرية النسبية

ميكانيكا الكم

الفيزياء الذرية

الفيزياء الجزيئية


الفيزياء النووية

مواضيع عامة في الفيزياء النووية

النشاط الاشعاعي


فيزياء الحالة الصلبة

الموصلات

أشباه الموصلات

العوازل

مواضيع عامة في الفيزياء الصلبة

فيزياء الجوامد


الليزر

أنواع الليزر

بعض تطبيقات الليزر

مواضيع عامة في الليزر


علم الفلك

تاريخ وعلماء علم الفلك

الثقوب السوداء


المجموعة الشمسية

الشمس

كوكب عطارد

كوكب الزهرة

كوكب الأرض

كوكب المريخ

كوكب المشتري

كوكب زحل

كوكب أورانوس

كوكب نبتون

كوكب بلوتو

القمر

كواكب ومواضيع اخرى

مواضيع عامة في علم الفلك

النجوم

البلازما

الألكترونيات

خواص المادة


الطاقة البديلة

الطاقة الشمسية

مواضيع عامة في الطاقة البديلة

المد والجزر

فيزياء الجسيمات


الفيزياء والعلوم الأخرى

الفيزياء الكيميائية

الفيزياء الرياضية

الفيزياء الحيوية

الفيزياء العامة


مواضيع عامة في الفيزياء

تجارب فيزيائية

مصطلحات وتعاريف فيزيائية

وحدات القياس الفيزيائية

طرائف الفيزياء

مواضيع اخرى
Michelson’s stellar interferometer
المؤلف:
A. Roy, D. Clarke
المصدر:
Astronomy - Principles and Practice 4th ed
الجزء والصفحة:
p 448
6-9-2020
2405
Michelson’s stellar interferometer
The largest known apparent angular diameters of stars are of the order of 10−7 radians and for the condition of minimum visibility of fringes to occur with the Michelson stellar interferometer, the separation of the apertures needs to be of the order of a few metres. An exact simulation of this experiment would be very difficult to achieve in the laboratory but the principle can be demonstrated by using a variation known as Anderson’s method. Simple apparatus can be used to measure the angle subtended by an illuminated pinhole.
For the laboratory method, the apertures are in the form of slits shaped like cats’ eyes, at a fixed separation. They can be made simply by cutting three pieces of brass shim and glueing them together. The slits and the layout of the equipment are illustrated in figure 1.
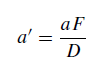
The double-slit arrangement needs to be placed behind the ‘telescope’ at a distance within the focal length of the lens. The effective separation of the slits can be altered by moving the slit system along the optic axis. Suppose that without the double slit in the beam, the image of the artificial star is at a distance, S', from the objective. If the slits are set at a distance, D, from the image position and the separation of the slits is a, the effective slit separation, a', as seen from the star, is given by

where F is the focal length of the objective. The effective slit separation may, therefore, be controlled by varying the distance, D.
Set up a travelling microscope so that it lies on the axis of the optical bench at its end. Without the double slit in the beam, focus the microscope on the image of the artificial star formed by the objective. Adjust the tilt of the objective by means of the three screws until the best image is seen with minimum flare.
Check that by sliding the double slit along the optical bench, the slit face can be brought into focus without readjustment of the microscope.
Place the double slit on the optical bench close to the objective. When viewed through the microscope, the artificial star should now appear as a band of light with a fringe pattern across the band, the fringes appearing much the same asMichelson would have seen them with his interferometer.
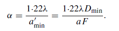
Adjust the position of the double slit in the holder until the sharpest fringe pattern is observed. On moving the slits progressively towards the microscope, the visibility of the fringes will decrease until they disappear. Continuation of the travel causes the fringes to reappear but with less separation. After a little practice in controlling the fringe visibility, find the position for minimum visibility, corresponding to an effective separation of a'min and note the position of Dmin of the double slit on the optical bench. Alter the double-slit position and repeat this part of the experiment several times to obtain a mean value of the slit position which gives minimum visibility. Determine this

Figure 1. Laboratory equipment for simulating Michelson’s stellar interferometer.
position relative to the image plane of the objective by measuring the position of the double slit when it is viewed to be in focus in the microscope.
Using the travelling microscope, obtain a mean value for the separation of the slits. By assuming the mean wavelength of the light to be 5500 ˚A and knowing the focal length of the objective, calculate the angular size of the artificial star using the formula

As a check, calculate the actual angle subtended by measuring the physical size of the hole constituting the artificial star and the distance of the star from the objective.
الاكثر قراءة في مواضيع عامة في علم الفلك
اخر الاخبار
اخبار العتبة العباسية المقدسة
الآخبار الصحية

قسم الشؤون الفكرية يصدر كتاباً يوثق تاريخ السدانة في العتبة العباسية المقدسة
"المهمة".. إصدار قصصي يوثّق القصص الفائزة في مسابقة فتوى الدفاع المقدسة للقصة القصيرة
(نوافذ).. إصدار أدبي يوثق القصص الفائزة في مسابقة الإمام العسكري (عليه السلام)