
تاريخ الفيزياء

علماء الفيزياء


الفيزياء الكلاسيكية

الميكانيك

الديناميكا الحرارية


الكهربائية والمغناطيسية

الكهربائية

المغناطيسية

الكهرومغناطيسية


علم البصريات

تاريخ علم البصريات

الضوء

مواضيع عامة في علم البصريات

الصوت


الفيزياء الحديثة


النظرية النسبية

النظرية النسبية الخاصة

النظرية النسبية العامة

مواضيع عامة في النظرية النسبية

ميكانيكا الكم

الفيزياء الذرية

الفيزياء الجزيئية


الفيزياء النووية

مواضيع عامة في الفيزياء النووية

النشاط الاشعاعي


فيزياء الحالة الصلبة

الموصلات

أشباه الموصلات

العوازل

مواضيع عامة في الفيزياء الصلبة

فيزياء الجوامد


الليزر

أنواع الليزر

بعض تطبيقات الليزر

مواضيع عامة في الليزر


علم الفلك

تاريخ وعلماء علم الفلك

الثقوب السوداء


المجموعة الشمسية

الشمس

كوكب عطارد

كوكب الزهرة

كوكب الأرض

كوكب المريخ

كوكب المشتري

كوكب زحل

كوكب أورانوس

كوكب نبتون

كوكب بلوتو

القمر

كواكب ومواضيع اخرى

مواضيع عامة في علم الفلك

النجوم

البلازما

الألكترونيات

خواص المادة


الطاقة البديلة

الطاقة الشمسية

مواضيع عامة في الطاقة البديلة

المد والجزر

فيزياء الجسيمات


الفيزياء والعلوم الأخرى

الفيزياء الكيميائية

الفيزياء الرياضية

الفيزياء الحيوية

الفيزياء والفلسفة

الفيزياء العامة


مواضيع عامة في الفيزياء

تجارب فيزيائية

مصطلحات وتعاريف فيزيائية

وحدات القياس الفيزيائية

طرائف الفيزياء

مواضيع اخرى
جزيئة البنزين C6H6
المؤلف:
الدكتور صلاح الدين محمود يونس
المصدر:
الفيزياء الجزيئية
الجزء والصفحة:
136
7-1-2021
4916
جزيئة البنزين C6H6
تعود جزيئة البنزين الى صنف من الجزيئات تلعب فيها الالكترونات المتحركة دورا مهما وقد تبين ان هذه الالكترونات تاتي من تراكب مدارات p لتكوين اواصر π. ان جزيئة البنزين مستوية الشكل وتشكل ذرات الكربون حلقة سداسية وبين اواصر الكربون زاوية 120 ومن هذا يتبين تهجين sp2. لذا توجد اواصر C-C σ وC-H غير متحركة تحتوي الكترون تكافؤ واحد من ذرة كربون وتوجد ستة الكترونات Pz غير مشتركة في التهجين ومتاحة لتآصر اضافي ولتكوين ثلاثة اواصر π من الكترونات Pz ينشأ الجمع الخطي
حيث φi هي مدارات Pz لذرات الكربون الستة وان النقطة الحرجة الان هي ان الدول الموجية ψ ليست مقيدة الى ذرة كربون واحدة او الى زوج من الذرات المتآصرة ولكن تمتد على كل الحلقة المكونة من ست ذرات وهذه الالكترونات المتحركة تساهم كثيرا في استقرارية الترتيب المستوى لان كثافتهم موزعة تماثليا لكل المستوى الجزيئي.
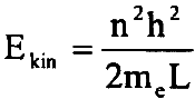
وقد اقترح هوكل Huckel نموذج بسيطا جدا لالكترونات π الموزعة على كل الحلقة مثل الكترونات في جهد بئر مربع طول ضلعه L يساوي محيط الحلقة وطول موجة دي برولي λ اذ يجب ان يخضع للشرط n λ = L، حيث n عدد صحيح وان طاقة الالكترونات الحركية Ekin تساوي
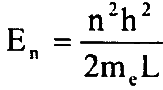
حيث me كتلة الكترون و h ثابت بلانك واذا اخترنا الطاقة الكامنة عند قعر البئر تساوي الصفر نحصل على طاقة الحالات n بالمعادلة:
وفي اتفاق معقول مع النتائج التجريبية. ان طريقة هو كل هي تقريب الكترون واحد لجزيئة متعددة الالكترونات.
الاكثر قراءة في الفيزياء الجزيئية
اخر الاخبار
اخبار العتبة العباسية المقدسة
الآخبار الصحية

قسم الشؤون الفكرية يصدر كتاباً يوثق تاريخ السدانة في العتبة العباسية المقدسة
"المهمة".. إصدار قصصي يوثّق القصص الفائزة في مسابقة فتوى الدفاع المقدسة للقصة القصيرة
(نوافذ).. إصدار أدبي يوثق القصص الفائزة في مسابقة الإمام العسكري (عليه السلام)