الطاقة الحركية في ميكانيكا الكم
المؤلف:
الدكتور صلاح الدين محمود يونس
المصدر:
الفيزياء الجزيئية
الجزء والصفحة:
143
10-1-2021
3810
الطاقة الحركية في ميكانيكا الكم
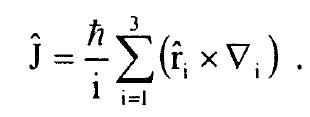
في ميكانيكا الكم يصبح الزخم الزاوي في المعادلة الاتية:

بالشكل:
...........(1)
حيث
مؤثر operator الزخم الزاوي و
مؤثر المسافة ويكون لدوار القمة المتماثل المسقط Jz على محور Z في نظام المختبر ثابت وكذلك المسقط Jz على محور التماثل للدوار ثابت ولذلك فان J2، Jz، وJz ثوابت الحركة والمؤثر
يستبدل commute مع المؤثر
والمؤثر
وتملك المؤثرات الثلاثة دوال ذاتية مشتركة ΨJ,K,M.
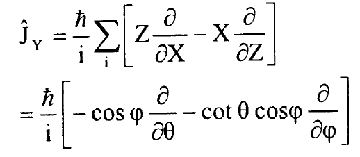
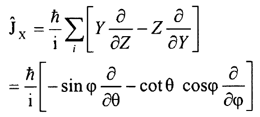
ويمكن التعبير عن مؤثرات مركبات الزتخم الزاوي J في نظام المختبر بالاحداثيات الكروية:
..............(2)
..........(3)
.........(4)
ولمربع المؤثر
نحصل على:
...........(5)
اذ ان معادلات القيمة الذاتية للمؤثرات المستبدلة الثلاثة هي:
..........(6)
............(7)
..........(8)
حيث K العدد الكمي لمسقط الزخم الزاوي على محور تماثل الجزيئة وMh هو مسقط J على محور Z في نظام المختبر. ان حل المعادلة (6) هو التوافقيات الكروية YJM.
........(i)
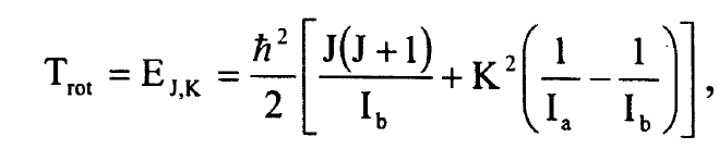
وبادخال القيم الذاتية في معادلة (i) نحصل على الطاقة الحركية لدوار القيمة المتماثل المتطاول:
.............(9)
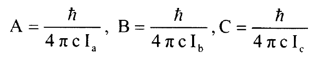
ومع الثوابت الدورانية:
...........(10)
نحصل على قيم الحد الطيفي الدورانية بوحدات cm-1:
.........(11)
الشكل (1)
وتعطى الطاقة الدورانية لدوار القمة المتماثل المفلطح بالمعادلة:
...........(12)
وقيم الحد الطيفي تساوي:
............(13)
وفي شكل (1) مخطط مستويات الطاقة للدوار المتطاول والدوار المفلطح لقيم K مختلفة حيث تزداد طاقة الدوار المتطاول مع K وJ ثابت بينما طاقة الدوار المفلطح تقل مع زيادة K وJ ثابت وفي جدول (1) الثوابت الدورانية لبعض الجزيئات.
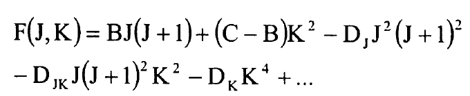
ان التشويه المركزي لدوار القمة المتماثل يعتمد على العدد الكمي للزخم الزاوي J وعلى العدد الكمي K ولان التشويه المركزي لا يعتمد على اتجاه دوران الجزيئة، مع اتجاه دوران عقارب الساعة او عكسه، فان التعبير عن طاقة الدوران في متوالية اسية في J وK تحوي اسس زوجية فقط ويمكن كتابة قيم الحد الطيفي لدوار القمة المتماثل الصلد بالشكل:
..........(14)
حيث ادخلت ثوابت التشويه الثلاثة DJK, DJ , وDK وهي اصغر كثيرا من B وC وتكون DJ دائما موجبة بينما DJK قد تكون موجبة او سالبة اعتمادا على الجزيئة والتشويه المركزي يعتمد على ثوابت القوة للجزيئة لذلك فان قيم D التجريبية تعطينا معلومات عن جهد الجزيئة بالقرب من مواقع الاتزان.
الاكثر قراءة في الفيزياء الجزيئية
اخر الاخبار
اخبار العتبة العباسية المقدسة