إشغال مستويات الطاقة الجزيئية
المؤلف:
الدكتور صلاح الدين محمود يونس
المصدر:
الفيزياء الجزيئية
الجزء والصفحة:
175
13-1-2021
2463
إشغال مستويات الطاقة الجزيئية
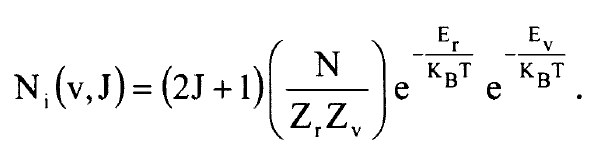
تعتمد شدة الخطوط الطيفية على احتمالية الانتقال وعلى عدد الجزيئات في وحدة الحجم Ni التي تشغل الحالة i للمستويات الجزيئية المشاركة بالانتقال فلأطياف الانبعاث تكون Ni اشغال مستوى الطاقة الاعلى الباعث للطاقة ولأطياف الامتصاص Ni هي الفرق بين اشغال المستوى الاعلى والمستوى الأوطأ ولأطياف رامان Ni هي اشغال المستوى الأوطأ الذي يحصل منه التهيج.
وتعتمد كثافة الاشغال Ni على درجة الحرارة T والوزن الاحصائي g للحالة الجزيئية وهو عدد مستويات الطاقة المتشابهة لحالة جزيئية والوزن الاحصائي لمستوى دوراني g = 2J+1 لان الزخم الزاوي J يمكن ان يكون له 2J+1 توجه في الفضاء وهذه التوجهات لها الطاقة نفسها بغياب المجال الكهربائي، وتعطى كثافة الاشغال لمستوى بطاقة Ei بقانون بولتزمان:
.........(1)
حيث N = Σi Ni هي كثافة الجزيئات الكلية و
هي دالة التجزئة ويضم الوزن الاحصائي لمستوى اهتزازي – دوراني مشاركات من الدوران والاهتزاز والبرم النووي ويعطى بالعلاقة:
........(2)
ويعطى اشغال مستويات الطاقة الدورانية بالعلاقة:
.............(3)
حيث Nv الاشغال الكامل للمستوى الاهتزازي v ومستويات الطاقة الدورانية تكون مشغولة في درجات الحرارة الاعتيادية كما مبين في شكل (1) حيث
.
ويعبر عن اشغال مستويات الطاقة الاهتزازية لجزيئة لا تدور تملك درجة حرية واحدة بالعلاقة:
...........(4)
حيث
دالة التجزئة الاهتزازية وN العدد الكلي للجزيئات في وحدة الحجم.
الشكل(1)
وبجمع المعادلتين (2) و(3) نحصل على كثافة اشغال مستوى اهتزازي – دوراني:
........(5)
ويؤثر برم النواة I على اشغال مستويات الطاقة الجزيئية فعندما تتبادل النوى في جزيئة ثنائية الذرة متشابهة النوى فان الدالة الموجية لحالة قد تكون متماثلة او غير متماثلة وضمن تقريب بورن – اوبنهايمر تكتب الدالة الموجية الكلية Ψ كحاصل ضرب المشاركة الالكترونية ψe والمشاركة الاهتزازية ψv والدورانية ψr والبرم النووي ψnuc:
.......(6)
وتدعى النوى التي مقدار برمها النووي نصف عدد صحيح فيرميونات والدالة الموجية الكلية يجب ان تكون غير متماثلة عند تبادل النوى المتشابهة والنوى التي برمها يساوي عدد صحيح تدعى بوزونات والدالة الموجية الكلية يجب ان تكون متماثلة بالنسبة لتبادل النوى المتشابهة ولان ψe وψv دالة متماثلة عند تبادل النوى فان حاصل الضرب mucψr ψ يجب ان يكون غير متماثل للنوى التي برمها نصف عدد صحيح ومتماثلة للنوى التي برمها يساوي عدد صحيح.
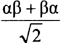
فمثلا للحالة Σ+g فان ψr متماثلة المستويات التي عددها الكمي الدوراني J زوجي وغير متماثلة لأعداد J الفردية ولكي يكون حاصل الضرب mucψr ψ غير متماثل يجب جمع دوال برم نووية متماثلة مع قيم J فردية ودوال برم نووية غير متماثلة مع اعداد J زوجية فمثلا اذا كانت النوى المتشابهة تملك برم نووي 2/1 فان العدد الكمي للبرم النووي يساوي +-2/1 اي ان البرم يمكن ان يتوجه الى اعلى α او الى الاسفل β لذلك تنشأ ثلاث دوال برم نووي متماثلة αα وββ و
ولكن جمع غير متماثل واحد
. ومن هذا يتبين ان الوزن الاحصائي لدوال البرم النووي المتماثلة يكون ثلاثة اضعاف الووزن الاحصائي للدوال الغير متماثلة لذا فان اشغال المستويات الدورانية للحالة الارضية لجزيئة الهيدروجين Σ+g للأعداد الكمية الدورانية الفردية تكون ثلاثة اضعاف اشغال الاعداد الكمية الدورانية الزوجية.
وتوجد، بشكل عام، للجزيئات الثنائية الذرة المتشابهة النوى وتملك برم نووي I عدد (21+1)(1+1) دوال برم نووي متماثلة و(21+1) 1 دوال برم نووي غير متماثلة ويجب ان تكون الدوال الموجية الكلية متماثلة للنوى البوزونية بعدد كمي للبرم النووي I زوجي لذلك فان المستويات الدورانية بعدد كمي دوراني زوجي في حالة الكترونية Σg تملك وزن احصائي (21+1) (1+1) بينما المستويات الدورانية بعدد كمي دوراني فردي تملك الوزن (21+1) 1.
وتملك جزيئة النتروجين برم نووي 1 = I، اي ان النوى بوزونات وحاصل الضرب mucψr ψ يجب ان يكون متماثلة ونسبة اعداد الاشغال الزوجي الى الفردي لمستويات دورانية
والبرم النووي لجزيئة الاوكسجين 0 = I اي ان النوى بوزونات وتوجد دالة برم نووي متماثلة فقط لذلك فان الوزن الاحصائي لمستويات دورانية باعداد كمية دورانية فردية يساوي الصفر ولا تظهر في طيف جزيئة الاوكسجين.
الاكثر قراءة في الفيزياء الجزيئية
اخر الاخبار
اخبار العتبة العباسية المقدسة