تاريخ الفيزياء
علماء الفيزياء
الفيزياء الكلاسيكية
الميكانيك
الديناميكا الحرارية
الكهربائية والمغناطيسية
الكهربائية
المغناطيسية
الكهرومغناطيسية
علم البصريات
تاريخ علم البصريات
الضوء
مواضيع عامة في علم البصريات
الصوت
الفيزياء الحديثة
النظرية النسبية
النظرية النسبية الخاصة
النظرية النسبية العامة
مواضيع عامة في النظرية النسبية
ميكانيكا الكم
الفيزياء الذرية
الفيزياء الجزيئية
الفيزياء النووية
مواضيع عامة في الفيزياء النووية
النشاط الاشعاعي
فيزياء الحالة الصلبة
الموصلات
أشباه الموصلات
العوازل
مواضيع عامة في الفيزياء الصلبة
فيزياء الجوامد
الليزر
أنواع الليزر
بعض تطبيقات الليزر
مواضيع عامة في الليزر
علم الفلك
تاريخ وعلماء علم الفلك
الثقوب السوداء
المجموعة الشمسية
الشمس
كوكب عطارد
كوكب الزهرة
كوكب الأرض
كوكب المريخ
كوكب المشتري
كوكب زحل
كوكب أورانوس
كوكب نبتون
كوكب بلوتو
القمر
كواكب ومواضيع اخرى
مواضيع عامة في علم الفلك
النجوم
البلازما
الألكترونيات
خواص المادة
الطاقة البديلة
الطاقة الشمسية
مواضيع عامة في الطاقة البديلة
المد والجزر
فيزياء الجسيمات
الفيزياء والعلوم الأخرى
الفيزياء الكيميائية
الفيزياء الرياضية
الفيزياء الحيوية
الفيزياء العامة
مواضيع عامة في الفيزياء
تجارب فيزيائية
مصطلحات وتعاريف فيزيائية
وحدات القياس الفيزيائية
طرائف الفيزياء
مواضيع اخرى
الطيوف الإهتزازية للجزيئات المتعددة الذرات
المؤلف:
الدكتور محمد انور بطل
المصدر:
الفيزياء الذرية والجزيئية
الجزء والصفحة:
ص 383
16-2-2022
2192
الطيوف الإهتزازية للجزيئات المتعددة الذرات
قواعد الإصطفاء:
الإصدار والامتصاص:
حتى يكون الإنتقال مسموح (في حالة الإصدار أو الإمتصاص) وذلك بين حالتين أهتزازيتين m و n يجب أن يكون واحدة على الأقل من المركبات الثلاث لعزم الإنتقال لايساوي الصفر أي :
التوابع ψm و ψn معرفة بواسطة الأعداد الكمية Vs و ls وكتقريب أولي ( هزاز توافقي ) يمكن اعتبارها كجداء ل للهزازات التوافقية أحادية وثنائية البعد. لنتذكر بأن مركبات عزم الإنتقال mmn يجب أن تحسب على المحاور XYZ الثابتة في الفضاء. في الحالة المدروسة حيث لايوجد دوران لجزيء كما فرضنا. المحاور xyz المرتبطة تشكيلة التوازن يمكن اعتبارها كأنها ثابتة في الفضاء. Mγ ترمز لمركبات عزم ثنائي القطب الكهربائي M على أحد المحاور x , y , z.
تشتت رامان:
تكتب قاعدة الإصطفاء :
'αγγ هي واحدة في مركبات تنسور الإستقطابية ( عددها 9 وينخفض إلى 6 إذا كان x متناظر أي αγγ' = αγ'γ . وهنا أيضاً نستطيع استخدام المركبات على المحاور xyz المرتبطة بالجزيء والتي تعتبر كأنها ثابتة في الفضاء .
العدد الموجي القطاع الإهتزازي :
لنأخذ حالة الإمتصاص وهذه الحالة تنطق بسهولة على الحالتين لإصدار وتشتت رامان ليكن الإنتقال المسموح :
كل واحدة من السويتين معرفة بمتتالية قيم الاعداد الكمية lt, vs المرافقة للاهتزاز المضاعف التوالد. حيث v'l للسوية العليا و "٧ للسوية الدنيا العدد الموجي يعطى بالعلاقة :
القطاعات الباردة:
أغلب الجزيئات الغازية تكون في السوية الأساسية عند درجات الحرارة العادية. وبالتالي سيكون طيف الإمتصاص الاهتزازي مؤلف من قطاعات ناتجة عن انتقالات من السوية الأساسية تدعى بالقطاعات الباردة أي أن:
وأيضاً :
حيث Go ترمز إلى الحد الطفي اطلاقاً من أخفض سوية اهتزازية .
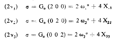
توضع القطاعات الباردة الجزئية ثلاثية الذرة غير خطية.
الأساسية :
التوافقيات الأولية :
قطاعات توافقية:
من أجل كل قطاع وضعنا بين قوسين رمز نوع ....+ vs vs + vs vs المستخدم بصورة عامة.
القطاعات الساخنة (الحارة):
تبدأ من سويات محرضة ونلاحظها إذا كانت ادوية المحرضة مسكونة بصورة كامنة. في الجزيئات الخطية الإهتزازات المضاعفة t تكون مترافقة بتشويه زاوي حيث الأنوية تنزاح بصورة متعامدة مع محور الجزيء لهذه الإهتزازات ترددات نسبياً ضعيفة أي أن السويات 1 = v1 لها طاقة منخفضة بصورة كافية. في الجزيئات ثلاثية الذرة الخطية مثلا أخفض سوية محرضه هي السوية 1 = v2 وهذه السوية منخفضة بصورة كافية بحيث كون الإسكان فيها غير مهمل في الدرجة العادية من الحرارة. والجدول التالي يعطي طاقات السويات المحرضة لبعض الجزيئات ثلاثية الذرة الخطية :
طيف الامتصاص :
يشكل طيف الامتصاص من مجموعة القطاعات الباردة والحارة ويقع ضمن الاشعة تحت الحمراء وكمثال نأخذ حالة الجزيئات ثلاثية الذرة الخطية الغير متناظرة والشكل (1) يعطي طيف N2O حيث نلاحظ القطاعات الباردة والحارة. وهذا الشكل يسمح لنا بفهم لماذا جانب كل قطاع بارد موازي (∑ ←∑) نلاحظ قطاع حار (π ← π) وإلى جانب كل قطاع بارد متعامد (∑ ←π) نلاحظ قطاعين حارين (Δ←π و π←∑) على الشكل (1) مثلنا ( بخط منقط عامودي ) القطاعات الحارة.
الشكل (1)
الشكل (2)
الاكثر قراءة في الفيزياء الجزيئية
اخر الاخبار
اخبار العتبة العباسية المقدسة

الآخبار الصحية
