
الادارة الهندسية

الانشاءات

الطرق والمواصلات

الموارد المائية

هندسة الجيوتكنك
نظرية الاتصال في الموائع
المؤلف:
محمد تقي كامل
المصدر:
ميكانيك الموائع
الجزء والصفحة:
ص30- ص 31
21-1-2023
2310
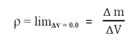
على الرغم من ان خواص المائع مرتبطة بتركيبه الجزيئي إلا ان معظم التطبيقات الهندسية تخص سلوك حجم محدد من المائع . ونظرا إلى عدد الجزيئات الهائل في بنية المائع فيمكن افتراض ان المائع مادة متصلة, ويستند هذا الافتراض إلى كون المسافة بين الجزيئات قصيرة جدا مقارنة بطول حجم المائع قيد الدراسة التطبيقية, كما تعد التأثيرات الناجمة عن حركة الجزيئات مهملة . وافضل مثال لتوضيح نظرية الاتصال هو كثافة المائع التي تعرف بكتلة وحدة الحجوم أي (m / v = ρ ) ولكن قد يختلف مقدار الكثافة من نقطة إلى أخرى في المائع حسب الظروف المؤثرة لدى نقطتين, لذا ينبغي اتخاذ عدد من الحجوم الصغيرة حجم كل منها v∆ وكتلته m ∆ ثم تعريف الكثافة بصيغة ادق هي :

المعادلة اعلاه في واقع الحال هي تطبيق لنظرية الاتصال حيث تعترض الكثافة لها نفس القيمة لأى حجم من المانع مهما يكن صغيراً, ولكن الحجم الصغير يجب أن يبقى كبيراً مقارنة بأبعاد الجزيئات لكي يصبح تأثير حركة الجزيئات مهملاً .
وعلى هذا الأساس يمكن افتراض كميات مثل الضغط والسرعة ثابتة المقدار في أي نقطة من المائع . ولا يمكن تطبيق نظرية الاتصال على الغازات النادرة أو الغازات الخاملة لان البعد بين جزيئاتها يكون كبيراً .
0
0
لا توجد تعليقات بعد
ما رأيك بالمقال : كن أول من يعلق على هذا المحتوى
الاكثر قراءة في الموارد المائية
اخر الاخبار
اخبار العتبة العباسية المقدسة
الآخبار الصحية



قسم الشؤون الفكرية يصدر كتاباً يوثق تاريخ السدانة في العتبة العباسية المقدسة
"المهمة".. إصدار قصصي يوثّق القصص الفائزة في مسابقة فتوى الدفاع المقدسة للقصة القصيرة
(نوافذ).. إصدار أدبي يوثق القصص الفائزة في مسابقة الإمام العسكري (عليه السلام)