Schwarzschild Coordinates
المؤلف:
Leonard Susskind And James Lindesay
المصدر:
AN INTRODUCTION TO BLACK HOLES, INFORMATION, AND THE STRING THEORY REVOLUTION
الجزء والصفحة:
13-12-2015
2218
Schwarzschild Coordinates
In Schwarzschild coordinates, the Schwarzschild geometry is manifestly spherically symmetric and static. The metric is given by
(1.1)
where dΩ2 ≡ dθ2 + sin2θdφ2.
The coordinate t is called Schwarzschild time, and it represents the time recorded by a standard clock at rest at spatial infinity. The coordinate r is called the Schwarzschild radial coordinate. It does not measure proper spatial distance from the origin, but is defined so that the area of the 2- sphere at r is 4πr2.The angles θ, φ are the usual polar and azimuthal angles. In equation 1.1 we have chosen units such that the speed of light is 1.
The horizon, which we will tentatively define as the place where g00 vanishes, is given by the coordinate r = 2MG. A t the horizon grr becomes singular. The question of whether the geometry is truly singular at the horizon or if it is the choice of coordinates which are pathological is subtle.
In what follows we will see that no local invariant properties of the geometry are singular at r = 2MG.Th us a small laboratory in free fall at r = 2MG would record nothing unusual. Nevertheless there is a very important sense in which the horizon is globally special if not singular. To a distant observer the horizon represents the boundary of the world, or at least that part which can influence his detectors.
To determine whether the local geometry is singular at r = 2MGwe can send an explorer in from far away to chart it. For simplicity let's consider a radially freely falling observer who is dropped from rest from the point r = R. The trajectory of the observer in parametric form is given by
(1.2)
(1.3)
(1.4)
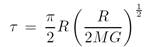
where τ is the proper time recorded by the observer's clock. From these overly complicated equations it is not too difficult to see that the observer arrives at the point r = 0 after a finite interval
(1.5)
Evidently the proper time when crossing the horizon is finite and smaller than the expression in equation 1.5.
What does the observer encounter at the horizon? An observer in free fall is not sensitive to the components of the metric, but rather senses the tidal forces or curvature components. Define an orthonormal frame such that the observer is momentarily at rest. We can construct unit basis vectors,
with
oriented along the observer's instantaneous time axis, and
pointing radially out. The non-vanishing curvature components are given by
(1.6)
Thus all the curvature components are finite and of order
(1.7)
at the horizon. For a large mass black hole they are typically very small. Thus the in falling observer passes smoothly and safely through the horizon.
On the other hand the tidal forces diverge as r → 0 where a true local singularity occurs. At this point the curvature increases to the point where the classical laws of nature must fail.
Let us now consider the history of the in falling observer from the viewpoint of a distant observer. We may suppose that the in falling observer sends out signals which are received by the distant observer. The first surprising thing we learn from equations 1.2, 1.3, and 1.4 is that the crossing of the horizon does not occur at any finite Schwarzschild time. It is easily seen that as r tends to 2MG, t tends to infinity. Furthermore a signal originating at the horizon cannot reach any point r > 2MG until an infinite Schwarzschild time has elapsed. This is shown in Figure 1.1. Assuming that the in falling observer sends signals at a given frequency ν, the distant observer sees those signals with a progressively decreasing frequency. Over the entire span of Schwarzschild time the distant observer records only a finite number of pulses from the in falling transmitter. Unless the in falling observer increases the frequency of his/her signals to infinity as the horizon is approached, the distant observer will inevitably run out of signals and lose track of the transmitter after a finite number of pulses. The limits imposed on the information that can be transmitted from near the horizon are not so severe in classical physics as they are in quantum theory. According to classical physics the in falling observer can use an arbitrarily large carrier frequency to send an arbitrarily large amount of information using

Fig. 1.1. In falling observer sending signals to distant Schwarzschild observer.
an arbitrarily small energy without significantly disturbing the black hole and its geometry. Therefore, in principle, the distant observer can obtain information about the neighborhood of the horizon and the in falling system right up to the point of horizon crossing. However quantum mechanics requires that to send even a single bit of information requires a quantum of energy. As the observer approaches the horizon, this quantum must have higher and higher frequency, implying that the observer must have had a large energy available. This energy will back react on the geometry, disturbing the very quantity to be measured. Thereafter, as we shall see, no information can be transmitted from behind the horizon.
الاكثر قراءة في الثقوب السوداء
اخر الاخبار
اخبار العتبة العباسية المقدسة