
تاريخ الفيزياء

علماء الفيزياء


الفيزياء الكلاسيكية

الميكانيك

الديناميكا الحرارية


الكهربائية والمغناطيسية

الكهربائية

المغناطيسية

الكهرومغناطيسية


علم البصريات

تاريخ علم البصريات

الضوء

مواضيع عامة في علم البصريات

الصوت


الفيزياء الحديثة


النظرية النسبية

النظرية النسبية الخاصة

النظرية النسبية العامة

مواضيع عامة في النظرية النسبية

ميكانيكا الكم

الفيزياء الذرية

الفيزياء الجزيئية


الفيزياء النووية

مواضيع عامة في الفيزياء النووية

النشاط الاشعاعي


فيزياء الحالة الصلبة

الموصلات

أشباه الموصلات

العوازل

مواضيع عامة في الفيزياء الصلبة

فيزياء الجوامد


الليزر

أنواع الليزر

بعض تطبيقات الليزر

مواضيع عامة في الليزر


علم الفلك

تاريخ وعلماء علم الفلك

الثقوب السوداء


المجموعة الشمسية

الشمس

كوكب عطارد

كوكب الزهرة

كوكب الأرض

كوكب المريخ

كوكب المشتري

كوكب زحل

كوكب أورانوس

كوكب نبتون

كوكب بلوتو

القمر

كواكب ومواضيع اخرى

مواضيع عامة في علم الفلك

النجوم

البلازما

الألكترونيات

خواص المادة


الطاقة البديلة

الطاقة الشمسية

مواضيع عامة في الطاقة البديلة

المد والجزر

فيزياء الجسيمات


الفيزياء والعلوم الأخرى

الفيزياء الكيميائية

الفيزياء الرياضية

الفيزياء الحيوية

الفيزياء والفلسفة

الفيزياء العامة


مواضيع عامة في الفيزياء

تجارب فيزيائية

مصطلحات وتعاريف فيزيائية

وحدات القياس الفيزيائية

طرائف الفيزياء

مواضيع اخرى
Interactions
المؤلف:
Leonard Susskind And James Lindesay
المصدر:
AN INTRODUCTION TO BLACK HOLES, INFORMATION, AND THE STRING THEORY REVOLUTION
الجزء والصفحة:
21-12-2015
2255
Interactions
We saw that a charge falling toward the stretched horizon spreads over an area which grows exponentially. The area occupied by a free string only grows linearly. However, this not the end of the story. The the total length of the string grows exponentially with τ. It is clear that this behavior cannot continue indefinitely. The exponential growth of string length and linear growth of area imply that the transverse density of string increases to the point where string interactions must become important and seriously modify the free string picture. Roughly speaking, when a piece of string gets within a distance of order √α' of another piece, they can interact. The number of such string encounters will obviously increase without bound as τ →∞.
String interactions are governed by a dimensionless coupling constant g which determines the amplitude for strings to rearrange when they cross. Obviously the importance of interactions is governed not only by g, but also by the local density of string crossings. Let ρ be the number of such crossings per unit horizon area. When g2ρ becomes large, interactions can no longer be ignored.
Now, the form g2ρ is not dimensionless. There is only one dimensional constant in string theory, the inverse string tension α' with units of area. Sometimes α' is replaced by a length ℓs =√α'. The dimensionally correct statement is that string interactions become important when
(1.1)
This criterion has a profound significance. The quantity g2α' in string theory also governs the gravitational interaction between masses. It is none other than the gravitational coupling constant (in units with c = h = 1). The implication is that interactions become important when the area density of the string approaches 1/G, the area density of horizon entropy.
Although we cannot follow the string past the point where interactions become important, we can be sure that something new will happen. A good guess is that the density of string saturates at order 1/G. Since the total length of string grows like ℓ ≈ eτ the area that it occupies must also grow exponentially. This is reminiscent of the pattern of growth.
Verifying that as δ → 0 the string grows as if the density saturates is beyond the current technology of string theory. But the simple assumption that splitting and joining interactions cause effective short range repulsion, and that the repulsion prevents the density from increasing indefinitely, provides a phenomenological description of how information spreads over the horizon. Since the spreading is associated with a decreasing time of averaging it is not seen by a freely falling observer. This is the essence of complementarity.
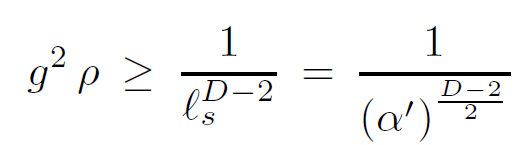
In general, string theory is not a 4-dimensional theory. It is important to check if the same logic applies in higher dimensions. Let D be the spacetime dimension. The general case goes as follows:
Since the number of transverse directions is D-2, equation 1.1 is replaced by
(1.2)
or
(1.3)
In D dimensions, the gravitational and string couplings are related by
(1.4)
so that the perturbative limit is again reached when the density is of order
(1.5)
الاكثر قراءة في الثقوب السوداء
اخر الاخبار
اخبار العتبة العباسية المقدسة
الآخبار الصحية

قسم الشؤون الفكرية يصدر كتاباً يوثق تاريخ السدانة في العتبة العباسية المقدسة
"المهمة".. إصدار قصصي يوثّق القصص الفائزة في مسابقة فتوى الدفاع المقدسة للقصة القصيرة
(نوافذ).. إصدار أدبي يوثق القصص الفائزة في مسابقة الإمام العسكري (عليه السلام)