السرعة فوق الصوتية
المؤلف:
فريدريك بوش ، دافيد جيرد
المصدر:
اساسيات الفيزياء
الجزء والصفحة:
21-1-2016
2933
السرعة فوق الصوتية
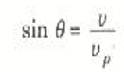
تحدث ظاهرة غريبة عندما تقترب سرعة المصدر الصوتي أو تصبح مساوية لها. في هذه الحالة سوف نجد من المعادلة (1) أن تردد الصوت f يقترب من ما لانهاية؛ وهذا يعني ببساطة ان عدد لا نهائياً تقريباً من القمم الموجية سوف يصل إلى المشاهد في وقت قصير جداً.
(1)
لنفرض أن سرعة المصدر الصوتي تساوي سرعة الصوت. في هذه الحالة سوف تقع جميع القمم الموجية الموجودة امام المصدر فوق بعضها البعض، مما يؤدي إلى تركيز الطاقة الموجية في منطقة صغيرة جداً امام المصدر. وإذا تذكرنا أن الموجة التضاغطية يمكنها ان تتحرك في الهواء بسرعة الصوت v فقط ، يمكننا ان نفهم ما يحدث في الحالة التالية. عندما تتحرك طائرة في الهواء بسرعة أعلى من سرعة الصوت v، سوف يتحرك التضاغط الهوائي الناتج من الطائرة إلى الخارج بسرعة مقدارها v؛ ويوضح الشكل (1 أ) موضع هذا التضاغط في لحظات متتالية.. وعندما تتحرك الطائرة من A إلى B إلى C إلى D بالسرعة vp يتحرك التضاغط الناتج تتحرك عنها إلى الخارج بسرعة أبطأ قدرها v لتصل إلى المواضع المناظرة A' و B' و C' و D'. ومن ثم فإن الجبهة الموجية للتضاغط سوف تصنع زاوية قدرها 0 مع اتجاه سرعة الطائرة، حيث :

وهذه الزاوية موضحة بالشكل (1 ب).

الشكل ((1
وتتحرك الموجة التضاغطية في الواقع في ثلاثة أبعاد، مولدة بذلك موجة مخروطية كالمبينة بالشكل ((2. وتسمى هذه المنطقة من الطاقة الصوتية المكثفة جداً بالموجه الصدمية، وهي تسبب دوياً اختراق حاجر الصوت هذا على الأرض بسرعة تساوي سرعة الطائرة. ويلاحظ وجود فرق كبير في ضغط الهواء عبر الموجة الصدمية. وحيث أن الموجة الصدمية هي منطقة من الطاقة الصوتية المكثفة جداً فإنها يمكن أن تسبب دماراً شديداً لأي شيء تصطدم به، وتتوقف التأثيرات التدميرية بالطبع على شدة الموجة الصدمية. ويكون هذا التدمير شديداً بوجه خاص عند طيران الطائرة فوق الصوتية على ارتفاعات منخفضة، حيث لا تجد طاقة الموجة الصدمية الفرصة لتشتتها قبل ضربها للأرض.

لاحظ ان الزاوية θ تثل بزيادة سرعة الطائرة . وتعرف النسبة بين سرعة الطائرة وسرعة الصوت vp/v بالعدد الماخي (Mach number).

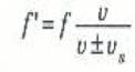
ويقال أن الطائرة تتحرك بسرعة قدرها mach 2 إذا كانت سرعتها ضعف سرعة الصوت.
الاكثر قراءة في الصوت
اخر الاخبار
اخبار العتبة العباسية المقدسة