الملفات اللولبية
المؤلف:
فريدريك بوش ، دافيد جيرد
المصدر:
اساسيات الفيزياء
الجزء والصفحة:
الفصل 19
24-1-2016
5240
الملفات اللولبية
يمكننا عمل ملف لولبي لو أننا قمنا بلف السلك على شكل حلزوني ليصبح ، ذو لفات متباعدة ومفككة أكثر من المعتاد. ففي العادة يتم لف الملف اللولبي بحيث تتلامس اللفات المتجاورة. وعند مقارنة ما جاء في الشكل ((1 بالمجال الناشئ عن حلقة منفردة في الشكل (2 ب) فإننا نكتشف أن مجالات اللفات المتجاورة تجمع كلها معاً لتكون المجال النهائي. ويبين الجزء ( 2ب) من الشكل مقطعاً مستعرضاً في جزء من ملف لولبي محكم اللف. وكما يدل الشكل فإن المجال المغناطيسي بداخل الملف يكون منتظماً تقريباً. وهكذا فإن مقدار المجال المغناطيسي داخل ملف لولبي مجوف ويحمل تياراً I، ويتكون من n حلقة من السلك في كل متر من طوله هو :
(1) B = μ0 nI

الشكل ((1
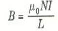
وتنطبق هذه العلاقة داخل الملف بأكمله فيما عدا بالقرب من طرفيه. ويستعمل الملف اللولبي دائما ً لخلق مجال مغناطيسي يكون منتظماً تقريباً. ويلاحظ أن مقدار B لا يعتمد على قطر أو طول الملف اللولبي. وعلينا ــ دائماً ــ تذكر أن n هو عدد اللفات في كل متر من طول الملف. فإذا كان N هو العدد الكلي للفات و L هو طول الملف اللولبي فإن n =N/L ويمكن عندئذ كتابة المعادلة ((1 بالصورة البديلة التالية:

وتستخدم الملفات اللولبية الملفوفة على قلوب من حديد في المغناطيسيات الكهربائية لأجراس الأبواب والعديد من الأجهزة الأخرى.
الشكل (2)
الاكثر قراءة في الكهرومغناطيسية
اخر الاخبار
اخبار العتبة العباسية المقدسة