
تاريخ الفيزياء

علماء الفيزياء


الفيزياء الكلاسيكية

الميكانيك

الديناميكا الحرارية


الكهربائية والمغناطيسية

الكهربائية

المغناطيسية

الكهرومغناطيسية


علم البصريات

تاريخ علم البصريات

الضوء

مواضيع عامة في علم البصريات

الصوت


الفيزياء الحديثة


النظرية النسبية

النظرية النسبية الخاصة

النظرية النسبية العامة

مواضيع عامة في النظرية النسبية

ميكانيكا الكم

الفيزياء الذرية

الفيزياء الجزيئية


الفيزياء النووية

مواضيع عامة في الفيزياء النووية

النشاط الاشعاعي


فيزياء الحالة الصلبة

الموصلات

أشباه الموصلات

العوازل

مواضيع عامة في الفيزياء الصلبة

فيزياء الجوامد


الليزر

أنواع الليزر

بعض تطبيقات الليزر

مواضيع عامة في الليزر


علم الفلك

تاريخ وعلماء علم الفلك

الثقوب السوداء


المجموعة الشمسية

الشمس

كوكب عطارد

كوكب الزهرة

كوكب الأرض

كوكب المريخ

كوكب المشتري

كوكب زحل

كوكب أورانوس

كوكب نبتون

كوكب بلوتو

القمر

كواكب ومواضيع اخرى

مواضيع عامة في علم الفلك

النجوم

البلازما

الألكترونيات

خواص المادة


الطاقة البديلة

الطاقة الشمسية

مواضيع عامة في الطاقة البديلة

المد والجزر

فيزياء الجسيمات


الفيزياء والعلوم الأخرى

الفيزياء الكيميائية

الفيزياء الرياضية

الفيزياء الحيوية

الفيزياء والفلسفة

الفيزياء العامة


مواضيع عامة في الفيزياء

تجارب فيزيائية

مصطلحات وتعاريف فيزيائية

وحدات القياس الفيزيائية

طرائف الفيزياء

مواضيع اخرى
Stability on Rotating Rollers
المؤلف:
Sidney B. Cahn Boris E. Nadgorny
المصدر:
A GUIDE TO PHYSICS PROBLEMS
الجزء والصفحة:
part 1 , p 5
2-8-2016
2222
Stability on Rotating Rollers
A uniform thin rigid rod of mass M is supported by two rotating rollers whose axes are separated by a fixed distance α. The rod is initially placed at rest asymmetrically, as shown in Figure 1.1a.
a) Assume that the rollers rotate in opposite directions. The coefficient of kinetic friction between the bar and the rollers is μ. Write the equation of motion of the bar and solve for the displacement x(t) of the center C of the bar from roller 1, assuming x(0) = x0 and 

Figure 1.1a
b) Now consider the case in which the directions of rotation of the rollers are reversed, as shown in Figure 1.1b. Calculate the displacement x(t) again, assuming x(0) = x0 and 

Figure 1.1b
SOLUTION
Hint: Consider a rod, e.g., a pencil, supported by one finger of each hand. First put your fingers as far apart as possible and then move them until they touch. Where do they meet? Now put your fingers together and place the rod with its center of mass at this point and move your fingers apart. What happens now?
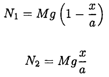
a) Let us orient the x-coordinate positive to the right (see Figure 1.2a). Then we can write equations for forces and torques relative to the center

Figure 1.2a
of mass of the rod:
(1)
(2)
(3)
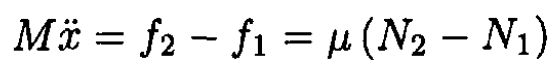
where N1 and N2 are normal forces and f1 and f2 are friction forces at the first and second rollers, respectively.
(4)
From (1) and (2) we get
(5)
Substituting (5) and (4) into (3) results in the differential equation

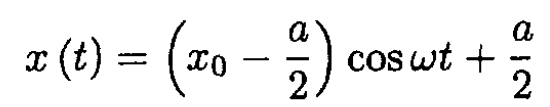
Letting ω2 = 2μg/a, gives ẍ + ω2x = μg. The solution of this equation is

where α is an arbitrary phase. Taking into account the initial conditions x(0) = x0 and ẋ(0) = 0 leads to the solution

corresponding to simple harmonic motion.
b) Now consider another case (see Figure 1.2b). The equations are quite similar:
(1')
(2')
(3')

Figure 1.2b
Again from (1') and (2') we can get ẍ - ω2x = -μg, ω2 = 2μg/a. The solution of this equation is

This means that the motion is not bound within the length of the rod. Even if you place the rod in the middle of the rollers, the equilibrium will not be stable.
الاكثر قراءة في مواضيع اخرى
اخر الاخبار
اخبار العتبة العباسية المقدسة
الآخبار الصحية

قسم الشؤون الفكرية يصدر كتاباً يوثق تاريخ السدانة في العتبة العباسية المقدسة
"المهمة".. إصدار قصصي يوثّق القصص الفائزة في مسابقة فتوى الدفاع المقدسة للقصة القصيرة
(نوافذ).. إصدار أدبي يوثق القصص الفائزة في مسابقة الإمام العسكري (عليه السلام)