Angular Momentum of Electromagnetic Field
المؤلف:
Sidney B. Cahn Boris E. Nadgorny
المصدر:
A GUIDE TO PHYSICS PROBLEMS
الجزء والصفحة:
part 1 , p 65
7-8-2016
1502
Angular Momentum of Electromagnetic Field
Consider two spherical metal shells of radii a and b (see Figure 1.1). There is a magnetic dipole of moment M in the center of the inner sphere. There is a charge +q on the inner sphere and -q on the outer sphere. Find the angular momentum associated with the electromagnetic field of the system.

Figure 1.1
SOLUTION
By analogy with the electric dipole, we can write the magnetic field from the magnetic dipole M as
(1)
where is the distance from the center of the spheres (see Figure 1.2). The electric field is nonzero only between the spheres:
(2)
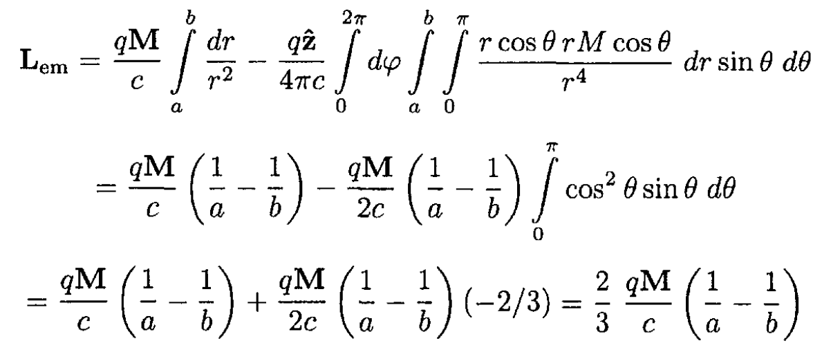
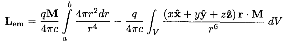
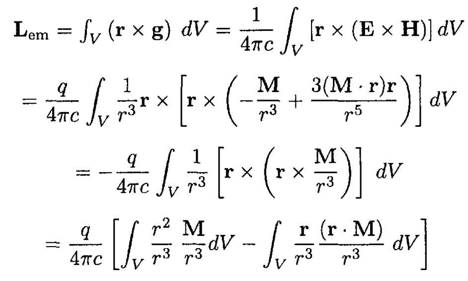
The electromagnetic angular momentum is given by the volume integral of r × g, where g is the electromagnetic momentum density.

Figure 1.2
The electromagnetic momentum density is
(3)
where S is the Poynting vector and c is the speed of light. Using the definition of the Poynting vector
(4)
we obtain for our field configuration
(5)
(5) may be rewritten in the form
(6)
Choose spherical coordinates with the z-axis in the direction of the vector M, taking into account that

We notice that the
and ŷ components of the second integral vanish, and

الاكثر قراءة في مواضيع اخرى
اخر الاخبار
اخبار العتبة العباسية المقدسة