Dipole Energy
المؤلف:
Sidney B. Cahn Boris E. Nadgorny
المصدر:
A GUIDE TO PHYSICS PROBLEMS
الجزء والصفحة:
part 1 , p 44
9-8-2016
1526
Dipole Energy
An electric dipole of moment p is placed at a height h above a perfectly conducting plane and makes an angle of θ with respect to the normal to this plane (see Figure 1.1).

Figure 1.1
a) Indicate the position and orientation of the image dipole and the direction of the force felt by the dipole.
b) Calculate the work required to remove the dipole to infinity.
SOLUTION
a) The dipole is attracted to the plane, as seen from the position of the image charges (see Figure 1.2).
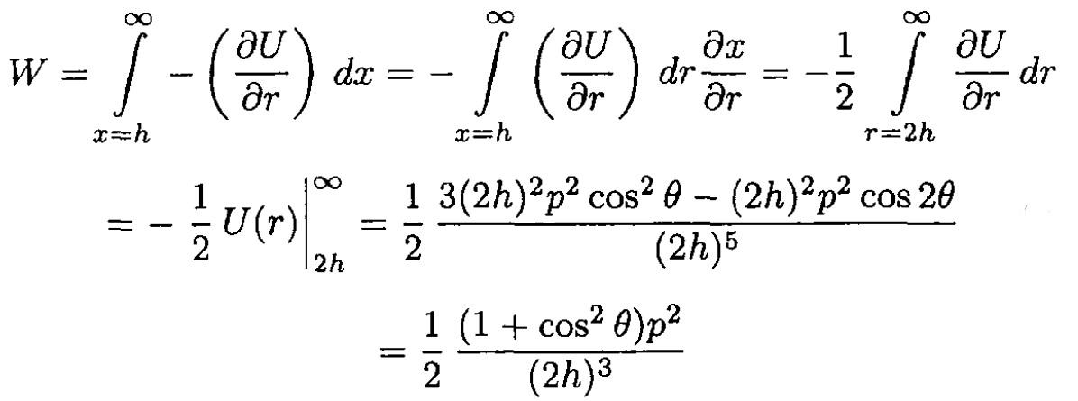
b) The field at a point r due to a dipole at the origin is given by
(1)
The potential energy U of the dipole in the field of another dipole is given

Figure 1.2
by – p . E. Therefore, for two dipoles p1 and p
(2)
where r is the vector from dipole 1 to dipole 2. Extra care must be exercised here since this is an image problem and not one where a single dipole remains fixed and the other is brought to infinity. The force F on the dipole equals -∂U/∂r, and we want to integrate F dx from x = h to ∞, where x = r/2. The work done
(3)
The work necessary to move the dipole to infinity from a real fixed dipole is twice that found in (3).
الاكثر قراءة في مواضيع اخرى
اخر الاخبار
اخبار العتبة العباسية المقدسة