
تاريخ الفيزياء

علماء الفيزياء


الفيزياء الكلاسيكية

الميكانيك

الديناميكا الحرارية


الكهربائية والمغناطيسية

الكهربائية

المغناطيسية

الكهرومغناطيسية


علم البصريات

تاريخ علم البصريات

الضوء

مواضيع عامة في علم البصريات

الصوت


الفيزياء الحديثة


النظرية النسبية

النظرية النسبية الخاصة

النظرية النسبية العامة

مواضيع عامة في النظرية النسبية

ميكانيكا الكم

الفيزياء الذرية

الفيزياء الجزيئية


الفيزياء النووية

مواضيع عامة في الفيزياء النووية

النشاط الاشعاعي


فيزياء الحالة الصلبة

الموصلات

أشباه الموصلات

العوازل

مواضيع عامة في الفيزياء الصلبة

فيزياء الجوامد


الليزر

أنواع الليزر

بعض تطبيقات الليزر

مواضيع عامة في الليزر


علم الفلك

تاريخ وعلماء علم الفلك

الثقوب السوداء


المجموعة الشمسية

الشمس

كوكب عطارد

كوكب الزهرة

كوكب الأرض

كوكب المريخ

كوكب المشتري

كوكب زحل

كوكب أورانوس

كوكب نبتون

كوكب بلوتو

القمر

كواكب ومواضيع اخرى

مواضيع عامة في علم الفلك

النجوم

البلازما

الألكترونيات

خواص المادة


الطاقة البديلة

الطاقة الشمسية

مواضيع عامة في الطاقة البديلة

المد والجزر

فيزياء الجسيمات


الفيزياء والعلوم الأخرى

الفيزياء الكيميائية

الفيزياء الرياضية

الفيزياء الحيوية

الفيزياء العامة


مواضيع عامة في الفيزياء

تجارب فيزيائية

مصطلحات وتعاريف فيزيائية

وحدات القياس الفيزيائية

طرائف الفيزياء

مواضيع اخرى
Plane Wave in Metal
المؤلف:
Sidney B. Cahn Boris E. Nadgorny
المصدر:
A GUIDE TO PHYSICS PROBLEMS
الجزء والصفحة:
part 1 , p 67
11-8-2016
1904
Plane Wave in Metal
Suppose that a plane electromagnetic wave of frequency ω/2π and amplitude E0 is normally incident on the flat surface of a semi-infinite metal of conductivity σ. Assume the frequency is low so that the displacement current inside the metal can be neglected. The magnetic permeability of the metal μ = 1.
a) Using Maxwell’s equations, derive expressions for the components of the electric and magnetic fields inside the conductor which are parallel to the surface. What is the characteristic penetration depth of the field?
b) What is the ratio of the magnetic field amplitude to the electric field amplitude inside the metal?
c) What is the power per unit area transmitted into the metal?
SOLUTION
a) Starting with Maxwell’s equations, we may follow a standard procedure to arrive at the wave equation for the fields and then the dispersion relations:
(1)
(2)
(3)
(4)
First take the curl of (4)
(5)
Using the identity

in (5), we obtain
(6)

Figure 1.1
Inside the conductor, we must use the relations J = σE and D = εE in (6). Therefore (6) becomes
(7)
Using (2) and B = μH in (7), we obtain the wave equation for H of the wave propagating in the z direction (see Figure 1.1):
(8)
Disregarding the displacement current (which is equivalent to the condition σ >> ω), we obtain from (8)
(9)
Substituting the plane wave solution into (9) results in
(10)
or
(11)
For our case μ = 1, so we have
(12)
Assuming that the electric field in the incident wave is polarized in the x direction and the magnetic field in the y direction, and the amplitude of the field outside the conductor is E0, we can obtain the fields inside Ht, Et

where
is the characteristic penetration depth of the field (skin depth). From the boundary conditions Hin1 = Houtt = E0, we have
(13)
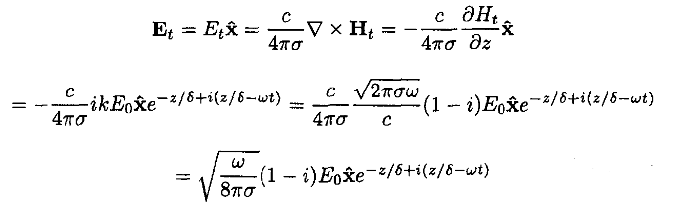
The electric field inside the conductor Et:
(14)
Therefore
(15)
where the phase shift –π/4 comes from the factor
Equation (14) is a special case of a more general formula

where n is a unit vector in the direction of the wave propagation, and

is the surface resistance.
b) The ratio of the amplitude of the magnetic field to that of the electric field inside the metal from (13) and (15) is in this approximation

Therefore the energy of the field inside a good conductor is mostly the magnetic energy.
c) The power per unit area P transmitted into the metal is given by the flux of the Poynting vector:

الاكثر قراءة في مواضيع اخرى
اخر الاخبار
اخبار العتبة العباسية المقدسة
الآخبار الصحية

قسم الشؤون الفكرية يصدر كتاباً يوثق تاريخ السدانة في العتبة العباسية المقدسة
"المهمة".. إصدار قصصي يوثّق القصص الفائزة في مسابقة فتوى الدفاع المقدسة للقصة القصيرة
(نوافذ).. إصدار أدبي يوثق القصص الفائزة في مسابقة الإمام العسكري (عليه السلام)