
تاريخ الفيزياء

علماء الفيزياء


الفيزياء الكلاسيكية

الميكانيك

الديناميكا الحرارية


الكهربائية والمغناطيسية

الكهربائية

المغناطيسية

الكهرومغناطيسية


علم البصريات

تاريخ علم البصريات

الضوء

مواضيع عامة في علم البصريات

الصوت


الفيزياء الحديثة


النظرية النسبية

النظرية النسبية الخاصة

النظرية النسبية العامة

مواضيع عامة في النظرية النسبية

ميكانيكا الكم

الفيزياء الذرية

الفيزياء الجزيئية


الفيزياء النووية

مواضيع عامة في الفيزياء النووية

النشاط الاشعاعي


فيزياء الحالة الصلبة

الموصلات

أشباه الموصلات

العوازل

مواضيع عامة في الفيزياء الصلبة

فيزياء الجوامد


الليزر

أنواع الليزر

بعض تطبيقات الليزر

مواضيع عامة في الليزر


علم الفلك

تاريخ وعلماء علم الفلك

الثقوب السوداء


المجموعة الشمسية

الشمس

كوكب عطارد

كوكب الزهرة

كوكب الأرض

كوكب المريخ

كوكب المشتري

كوكب زحل

كوكب أورانوس

كوكب نبتون

كوكب بلوتو

القمر

كواكب ومواضيع اخرى

مواضيع عامة في علم الفلك

النجوم

البلازما

الألكترونيات

خواص المادة


الطاقة البديلة

الطاقة الشمسية

مواضيع عامة في الطاقة البديلة

المد والجزر

فيزياء الجسيمات


الفيزياء والعلوم الأخرى

الفيزياء الكيميائية

الفيزياء الرياضية

الفيزياء الحيوية

الفيزياء العامة


مواضيع عامة في الفيزياء

تجارب فيزيائية

مصطلحات وتعاريف فيزيائية

وحدات القياس الفيزيائية

طرائف الفيزياء

مواضيع اخرى
Electron in Magnetic Field
المؤلف:
Sidney B. Cahn, Gerald D. Mahan And Boris E. Nadgorny
المصدر:
A GUIDE TO PHYSICS PROBLEMS
الجزء والصفحة:
part 2 , p 79
14-8-2016
1522
Electron in Magnetic Field
An electron is in free space except for a constant magnetic field B in the z-direction.
a) Show that the magnetic field can be represented by the vector potential A = B(0, x, 0).
b) Use this vector potential to derive the exact eigenfunctions and eigenvalues for the electron.
SOLUTION
a) The relationship between the vector potential and magnetic field is
Using A = B (0, x, 0) does give B = Bẑ. So this vector potential produces the right field.
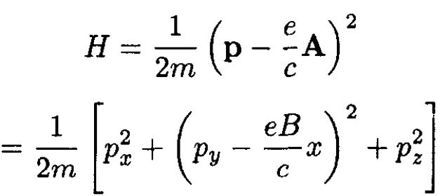
b) The vector potential enters the Hamiltonian in the form
(1)
One can show easily that py and pz each commute with the Hamiltonian and are constants of motion. Thus, we can write the eigenfunction as plane waves for these two variables, with only the x-dependence yet to be determined:
(2)
The Hamiltonian operating on ѱ gives
(3)
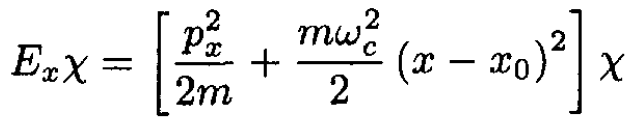
where Ez = h2k2z/2m. We may write the energy E as
(4)
and find
(5)
(6)
(7)
The energy is given by the component Ez along the magnetic field and the energy Ex for motion in the (x, y) plane. The latter contribution is identical to the simple harmonic oscillator in the x-direction. The frequency is the cyclotron frequency ωc, and the harmonic motion is centered at the point x0 which depends upon ky. The eigenvalues and eigenfunctions are
(8)
(9)
where ѱn(x) are the eigenfunctions for the one-dimensional harmonic oscillator.
الاكثر قراءة في مواضيع اخرى
اخر الاخبار
اخبار العتبة العباسية المقدسة
الآخبار الصحية

قسم الشؤون الفكرية يصدر كتاباً يوثق تاريخ السدانة في العتبة العباسية المقدسة
"المهمة".. إصدار قصصي يوثّق القصص الفائزة في مسابقة فتوى الدفاع المقدسة للقصة القصيرة
(نوافذ).. إصدار أدبي يوثق القصص الفائزة في مسابقة الإمام العسكري (عليه السلام)