
تاريخ الفيزياء

علماء الفيزياء


الفيزياء الكلاسيكية

الميكانيك

الديناميكا الحرارية


الكهربائية والمغناطيسية

الكهربائية

المغناطيسية

الكهرومغناطيسية


علم البصريات

تاريخ علم البصريات

الضوء

مواضيع عامة في علم البصريات

الصوت


الفيزياء الحديثة


النظرية النسبية

النظرية النسبية الخاصة

النظرية النسبية العامة

مواضيع عامة في النظرية النسبية

ميكانيكا الكم

الفيزياء الذرية

الفيزياء الجزيئية


الفيزياء النووية

مواضيع عامة في الفيزياء النووية

النشاط الاشعاعي


فيزياء الحالة الصلبة

الموصلات

أشباه الموصلات

العوازل

مواضيع عامة في الفيزياء الصلبة

فيزياء الجوامد


الليزر

أنواع الليزر

بعض تطبيقات الليزر

مواضيع عامة في الليزر


علم الفلك

تاريخ وعلماء علم الفلك

الثقوب السوداء


المجموعة الشمسية

الشمس

كوكب عطارد

كوكب الزهرة

كوكب الأرض

كوكب المريخ

كوكب المشتري

كوكب زحل

كوكب أورانوس

كوكب نبتون

كوكب بلوتو

القمر

كواكب ومواضيع اخرى

مواضيع عامة في علم الفلك

النجوم

البلازما

الألكترونيات

خواص المادة


الطاقة البديلة

الطاقة الشمسية

مواضيع عامة في الطاقة البديلة

المد والجزر

فيزياء الجسيمات


الفيزياء والعلوم الأخرى

الفيزياء الكيميائية

الفيزياء الرياضية

الفيزياء الحيوية

الفيزياء والفلسفة

الفيزياء العامة


مواضيع عامة في الفيزياء

تجارب فيزيائية

مصطلحات وتعاريف فيزيائية

وحدات القياس الفيزيائية

طرائف الفيزياء

مواضيع اخرى
Harmonic Oscillator in Field
المؤلف:
Sidney B. Cahn, Gerald D. Mahan And Boris E. Nadgorny
المصدر:
A GUIDE TO PHYSICS PROBLEMS
الجزء والصفحة:
part 2 , p 70
18-8-2016
1701
Harmonic Oscillator in Field
A particle of mass m and charge e moves in one dimension. It is attached to a spring of constant k and is initially in the ground state (n = 0) of the harmonic oscillator. An electric field E is switched on during the interval 0 < t < τ, where τ is a constant.
a) What is the probability of the particle ending up in the n = 1 state?
b) What is the probability of the particle ending up in the n = 2 state?
SOLUTION
Now we label the eigenstates with the index n for the harmonic oscillator state of energy En = hω(n + 1/2) and write the equation satisfied by the time-dependent amplitudes an(t),
(1)
(2)
We need to evaluate the matrix element 〈n|x|m〉 of x between the states |n〉 and |m〉 of the harmonic oscillator. It is only nonzero if m = n ±1. In terms of raising and lowering operators,
(3)
(4)
(5)
(6)
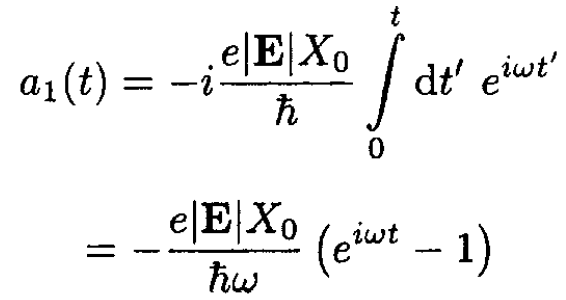
a) If the initial state is n = 0 at t = 0, then the amplitude of the n = 1 state for (t < τ) is given by
(7)
(8)
The last equation is the probability of ending in the state n = 1 if the initial state is n = 0. This expression is valid as long as it is less than 1 or if 2e|E|X0 < hω.
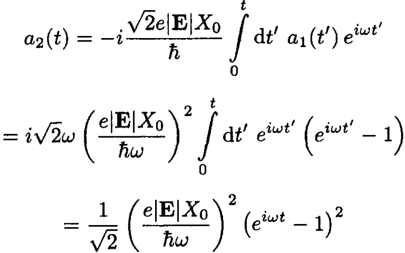
b) The n = 2 state cannot be reached by a single transition from n = 0 since the matrix element 〈2|x|0〉 = 0. However, n = 2 can be reached by a two-step process. It can be reached from n = 1, and n = 1 is excited from n = 0. The matrix element is
so we have that
(9)
(10)
Note that P2 = P12/2!. Similarly, one can show that Pn = P1n/n! However, the total probability, when summed over all transitions, cannot exceed 1. Therefore, we define a normalized probability 
(11)
الاكثر قراءة في مواضيع اخرى
اخر الاخبار
اخبار العتبة العباسية المقدسة
الآخبار الصحية

قسم الشؤون الفكرية يصدر كتاباً يوثق تاريخ السدانة في العتبة العباسية المقدسة
"المهمة".. إصدار قصصي يوثّق القصص الفائزة في مسابقة فتوى الدفاع المقدسة للقصة القصيرة
(نوافذ).. إصدار أدبي يوثق القصص الفائزة في مسابقة الإمام العسكري (عليه السلام)