
تاريخ الفيزياء

علماء الفيزياء


الفيزياء الكلاسيكية

الميكانيك

الديناميكا الحرارية


الكهربائية والمغناطيسية

الكهربائية

المغناطيسية

الكهرومغناطيسية


علم البصريات

تاريخ علم البصريات

الضوء

مواضيع عامة في علم البصريات

الصوت


الفيزياء الحديثة


النظرية النسبية

النظرية النسبية الخاصة

النظرية النسبية العامة

مواضيع عامة في النظرية النسبية

ميكانيكا الكم

الفيزياء الذرية

الفيزياء الجزيئية


الفيزياء النووية

مواضيع عامة في الفيزياء النووية

النشاط الاشعاعي


فيزياء الحالة الصلبة

الموصلات

أشباه الموصلات

العوازل

مواضيع عامة في الفيزياء الصلبة

فيزياء الجوامد


الليزر

أنواع الليزر

بعض تطبيقات الليزر

مواضيع عامة في الليزر


علم الفلك

تاريخ وعلماء علم الفلك

الثقوب السوداء


المجموعة الشمسية

الشمس

كوكب عطارد

كوكب الزهرة

كوكب الأرض

كوكب المريخ

كوكب المشتري

كوكب زحل

كوكب أورانوس

كوكب نبتون

كوكب بلوتو

القمر

كواكب ومواضيع اخرى

مواضيع عامة في علم الفلك

النجوم

البلازما

الألكترونيات

خواص المادة


الطاقة البديلة

الطاقة الشمسية

مواضيع عامة في الطاقة البديلة

المد والجزر

فيزياء الجسيمات


الفيزياء والعلوم الأخرى

الفيزياء الكيميائية

الفيزياء الرياضية

الفيزياء الحيوية

الفيزياء والفلسفة

الفيزياء العامة


مواضيع عامة في الفيزياء

تجارب فيزيائية

مصطلحات وتعاريف فيزيائية

وحدات القياس الفيزيائية

طرائف الفيزياء

مواضيع اخرى
One-Dimensional Coulomb Potential
المؤلف:
Sidney B. Cahn, Gerald D. Mahan And Boris E. Nadgorny
المصدر:
A GUIDE TO PHYSICS PROBLEMS
الجزء والصفحة:
part 2 , p 55
19-8-2016
2219
One-Dimensional Coulomb Potential
An electron moves in one dimension and is confined to the right half-space (x > 0) where it has a potential energy
(i)
where e is the charge on an electron. This is the image potential of an electron outside a perfect conductor.
a) Find the ground state energy.
b) Find the expectation value 〈x〉 in the ground state
SOLUTION
a) Since the electron is confined to the right half-space, its wave function must vanish at the origin. So, an eigenfunction such as exp(-αx) is unsuitable since it does not vanish at x = 0. The ground state wave function must be of the form ѱ = Nx exp(-αa), where α needs to be determined. The operator p2 acting on this form gives
(1)
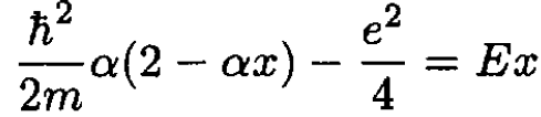
so that using this wave function in Schrodinger’s equation yields
(2)
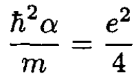
For this equation to be satisfied, the first and third terms on the left must be equal, and the second term on the left must equal the term on the right of the equals sign:
(3)
(4)
The answer is one sixteenth of the Rydberg, where ER is the ground state energy of the hydrogen atom. The parameter α = 1/4a0, where a0 is the Bohr radius.
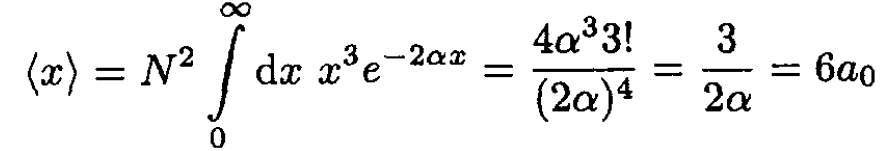
b) Next we find the expectation value 〈x〉. The first integral is done to find the normalization coefficient:
(5)
(6)
The average value of x is 6 Bohr radii.
الاكثر قراءة في مواضيع اخرى
اخر الاخبار
اخبار العتبة العباسية المقدسة
الآخبار الصحية

قسم الشؤون الفكرية يصدر كتاباً يوثق تاريخ السدانة في العتبة العباسية المقدسة
"المهمة".. إصدار قصصي يوثّق القصص الفائزة في مسابقة فتوى الدفاع المقدسة للقصة القصيرة
(نوافذ).. إصدار أدبي يوثق القصص الفائزة في مسابقة الإمام العسكري (عليه السلام)