
تاريخ الفيزياء

علماء الفيزياء


الفيزياء الكلاسيكية

الميكانيك

الديناميكا الحرارية


الكهربائية والمغناطيسية

الكهربائية

المغناطيسية

الكهرومغناطيسية


علم البصريات

تاريخ علم البصريات

الضوء

مواضيع عامة في علم البصريات

الصوت


الفيزياء الحديثة


النظرية النسبية

النظرية النسبية الخاصة

النظرية النسبية العامة

مواضيع عامة في النظرية النسبية

ميكانيكا الكم

الفيزياء الذرية

الفيزياء الجزيئية


الفيزياء النووية

مواضيع عامة في الفيزياء النووية

النشاط الاشعاعي


فيزياء الحالة الصلبة

الموصلات

أشباه الموصلات

العوازل

مواضيع عامة في الفيزياء الصلبة

فيزياء الجوامد


الليزر

أنواع الليزر

بعض تطبيقات الليزر

مواضيع عامة في الليزر


علم الفلك

تاريخ وعلماء علم الفلك

الثقوب السوداء


المجموعة الشمسية

الشمس

كوكب عطارد

كوكب الزهرة

كوكب الأرض

كوكب المريخ

كوكب المشتري

كوكب زحل

كوكب أورانوس

كوكب نبتون

كوكب بلوتو

القمر

كواكب ومواضيع اخرى

مواضيع عامة في علم الفلك

النجوم

البلازما

الألكترونيات

خواص المادة


الطاقة البديلة

الطاقة الشمسية

مواضيع عامة في الطاقة البديلة

المد والجزر

فيزياء الجسيمات


الفيزياء والعلوم الأخرى

الفيزياء الكيميائية

الفيزياء الرياضية

الفيزياء الحيوية

الفيزياء والفلسفة

الفيزياء العامة


مواضيع عامة في الفيزياء

تجارب فيزيائية

مصطلحات وتعاريف فيزيائية

وحدات القياس الفيزيائية

طرائف الفيزياء

مواضيع اخرى
Hole in Wall
المؤلف:
Sidney B. Cahn, Gerald D. Mahan And Boris E. Nadgorny
المصدر:
A GUIDE TO PHYSICS PROBLEMS
الجزء والصفحة:
part 2 , p 11
29-8-2016
1732
Hole in Wall
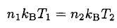
A container is divided into two parts, I and II, by a partition with a small hole of diameter d. Helium gas in the two parts is held at temperatures T1 = 150 K and T2 = 300K, respectively, through heating of the walls (see Figure 1.1).

Figure 1.1
a) How does the diameter d determine the physical process by which the gases come to steady state?
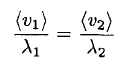
b) What is the ratio of the mean free paths λ1/λ2 between the two parts when d << λ1, d << λ2?
c) What is the ratio λ1/λ2 when d >> λ1, d >> λ2?
SOLUTION
a) If the diameter of the hole is large compared to the mean free path in both gases, we have regular hydrodynamic flow of molecules in which the pressures are the same in both parts. If the diameter of the hole (and thickness of the partition) is small compared to the mean free path, there are practically no collisions within the hole and the molecules thermalize far from the hole (usually through collisions with the walls).
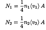
b) In case d << λ1, d << λ2, there are two independent effusive flows from I to II and from II to I. The number of particles N1 and N2 going through the hole from parts I and II are, respectively,
(1)
where A = πd2/4 is the area of the hole. At equilibrium, N1 = N2, so we have
(2)
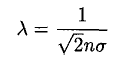
The mean free path is related to the volume concentration of the molecules n by the formula
(3)
where σ is the effective cross section of the molecule, which depends only on the type of molecule, helium in both halves. Substituting (3) into (2) gives

or

c) When d >> λ1, d >> λ2, we have to satisfy the condition

or

which gives for the ratio of the mean free paths:

الاكثر قراءة في مواضيع اخرى
اخر الاخبار
اخبار العتبة العباسية المقدسة
الآخبار الصحية

قسم الشؤون الفكرية يصدر كتاباً يوثق تاريخ السدانة في العتبة العباسية المقدسة
"المهمة".. إصدار قصصي يوثّق القصص الفائزة في مسابقة فتوى الدفاع المقدسة للقصة القصيرة
(نوافذ).. إصدار أدبي يوثق القصص الفائزة في مسابقة الإمام العسكري (عليه السلام)