

تاريخ الرياضيات

الاعداد و نظريتها

تاريخ التحليل

تار يخ الجبر

الهندسة و التبلوجي


الرياضيات في الحضارات المختلفة

العربية

اليونانية

البابلية

الصينية

المايا

المصرية

الهندية


الرياضيات المتقطعة

المنطق

اسس الرياضيات

فلسفة الرياضيات

مواضيع عامة في المنطق


الجبر

الجبر الخطي

الجبر المجرد

الجبر البولياني

مواضيع عامة في الجبر

الضبابية

نظرية المجموعات

نظرية الزمر

نظرية الحلقات والحقول

نظرية الاعداد

نظرية الفئات

حساب المتجهات

المتتاليات-المتسلسلات

المصفوفات و نظريتها

المثلثات


الهندسة

الهندسة المستوية

الهندسة غير المستوية

مواضيع عامة في الهندسة

التفاضل و التكامل


المعادلات التفاضلية و التكاملية

معادلات تفاضلية

معادلات تكاملية

مواضيع عامة في المعادلات


التحليل

التحليل العددي

التحليل العقدي

التحليل الدالي

مواضيع عامة في التحليل

التحليل الحقيقي

التبلوجيا

نظرية الالعاب

الاحتمالات و الاحصاء

نظرية التحكم

بحوث العمليات

نظرية الكم

الشفرات

الرياضيات التطبيقية

نظريات ومبرهنات


علماء الرياضيات

500AD

500-1499

1000to1499

1500to1599

1600to1649

1650to1699

1700to1749

1750to1779

1780to1799

1800to1819

1820to1829

1830to1839

1840to1849

1850to1859

1860to1864

1865to1869

1870to1874

1875to1879

1880to1884

1885to1889

1890to1894

1895to1899

1900to1904

1905to1909

1910to1914

1915to1919

1920to1924

1925to1929

1930to1939

1940to the present

علماء الرياضيات

الرياضيات في العلوم الاخرى

بحوث و اطاريح جامعية

هل تعلم

طرائق التدريس

الرياضيات العامة

نظرية البيان
INTRODUCTION TO PROBABILITY IN FINITE SAMPLE SPACES-Conditional probability
المؤلف:
J. ELDON WHITESITT
المصدر:
BOOLEAN ALGEBRA AND ITS APPLICATIONS
الجزء والصفحة:
157-160
1-1-2017
1780
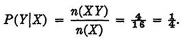
To introduce the concept of conditional probability, consider the following example. An urn contains 10 large marbles of which 6 are white and 4 are black, and 10 small marbles of which 3 are white and 7 are black. Let the event that a marble drawn at random is white be denoted by W, and that it is large be denoted by L.
It is clear that P(W) = 9/20 Suppose that a marble is drawn and it is large. The probability that it is also white is 5. The reason these values are different is that the first is based on a sample space with 20 points of which 9 correspond to white marbles, and the second is based on a sample space of 10 points of which 6 correspond to white marbles. The second probability will be referred to as the probability that the ball is white knowing it is large, and will be denoted by P(WIL). This intuitive ex- ample suggests the following definition.
DEFINITION. Let X be an event in an arbitrary sample space with nonzero probability, and let Y be any event in the same sample space. The conditional probability that Y occurs knowing that X has occurred is defined by

If both numerator and denominator of P(YIX) are divided by the number of points in the sample space, this formula becomes

Still another useful form for the formula is obtained by multiplying both sides of (2) by P(X). This gives

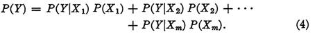
A final formula which is often useful comes as an application of Theorem 2 of (The number of elements in a set). Let Y be any event, and let X1, X 2, ... , Xm be events
representing disjoint sets (mutually exclusive) and such that
X1+X2+...+Xm= 1,
the entire sample space. Then it follows from Theorem 2 of (The number of elements in a set).
that P(Y) = P(YX1) + P(YX2) + + P(YXm), and applying (3) above, we obtain

Example 1. Find the probability that a card dealt from a bridge deck is an ace, if it is known to be either an ace or a face card (that is, A, K, Q, or J).
Solution. Let Y denote the event that the card is an ace, and X the event that it is either an ace or a face card. The definition gives

EXAMPLE 2. A certain group of students is two thirds males and one third females. Of these, one tenth of the males are color-blind. What is the probability that a student selected at random will be a color-blind male?
Solution. Let Y be the event that the student is color-blind, and X the event that he is male. Equation (3) gives
P(XY) = P(YI X) P(X) =(1/10) (2/3)=1/15
EXAMPLE 3. In a factory, three operators A, B, and C alternate in shifts in operating a certain machine. Records show that the number of parts produced by A, B, and C, respectively, are in the ratio 4:5:6. Of the parts produced, 1% of A's, 2% of B's, and 3% of C's are defective. What is the probability that a part drawn at random from the output of their machine will be defective?
Solution. Let D represent the event that the part is defective, and let A, B, and C represent the events that the part is produced by operator A, B, or C, respectively. Using Eq. (4), we find that
P(D) = P(DIA) P(A) + P(DIB) P(B) + P(DIC) P(C)
= 0.01 (4/15)+0.02(1/3)+0.03(2/5)
= 0.0213, approximately.
الاكثر قراءة في الجبر البولياني
اخر الاخبار
اخبار العتبة العباسية المقدسة
الآخبار الصحية

قسم الشؤون الفكرية يصدر كتاباً يوثق تاريخ السدانة في العتبة العباسية المقدسة
"المهمة".. إصدار قصصي يوثّق القصص الفائزة في مسابقة فتوى الدفاع المقدسة للقصة القصيرة
(نوافذ).. إصدار أدبي يوثق القصص الفائزة في مسابقة الإمام العسكري (عليه السلام)