
تاريخ الفيزياء

علماء الفيزياء


الفيزياء الكلاسيكية

الميكانيك

الديناميكا الحرارية


الكهربائية والمغناطيسية

الكهربائية

المغناطيسية

الكهرومغناطيسية


علم البصريات

تاريخ علم البصريات

الضوء

مواضيع عامة في علم البصريات

الصوت


الفيزياء الحديثة


النظرية النسبية

النظرية النسبية الخاصة

النظرية النسبية العامة

مواضيع عامة في النظرية النسبية

ميكانيكا الكم

الفيزياء الذرية

الفيزياء الجزيئية


الفيزياء النووية

مواضيع عامة في الفيزياء النووية

النشاط الاشعاعي


فيزياء الحالة الصلبة

الموصلات

أشباه الموصلات

العوازل

مواضيع عامة في الفيزياء الصلبة

فيزياء الجوامد


الليزر

أنواع الليزر

بعض تطبيقات الليزر

مواضيع عامة في الليزر


علم الفلك

تاريخ وعلماء علم الفلك

الثقوب السوداء


المجموعة الشمسية

الشمس

كوكب عطارد

كوكب الزهرة

كوكب الأرض

كوكب المريخ

كوكب المشتري

كوكب زحل

كوكب أورانوس

كوكب نبتون

كوكب بلوتو

القمر

كواكب ومواضيع اخرى

مواضيع عامة في علم الفلك

النجوم

البلازما

الألكترونيات

خواص المادة


الطاقة البديلة

الطاقة الشمسية

مواضيع عامة في الطاقة البديلة

المد والجزر

فيزياء الجسيمات


الفيزياء والعلوم الأخرى

الفيزياء الكيميائية

الفيزياء الرياضية

الفيزياء الحيوية

الفيزياء والفلسفة

الفيزياء العامة


مواضيع عامة في الفيزياء

تجارب فيزيائية

مصطلحات وتعاريف فيزيائية

وحدات القياس الفيزيائية

طرائف الفيزياء

مواضيع اخرى
Electric field of a pointlike charge near a black hole
المؤلف:
Heino Falcke and Friedrich W Hehl
المصدر:
THE GALACTIC BLACK HOLE Lectures on General Relativity and Astrophysics
الجزء والصفحة:
p 170
2-2-2017
2243
Electric field of a pointlike charge near a black hole
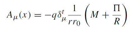
Let a pointlike charge q be at rest near a Schwarzschild black hole at r = r0, θ = 0. The electric field created by this charge, found and Leaute and Linet [49], reads:
(1.1)
where
(1.2)
(1.3)

Figure 1.1. The electric-field lines of force of a test charge q at rest in the Schwarzschild metric, in a φ = constant section: (left) lines of force on a curved surface whose geometry coincides with the section φ = constant of the Schwarzschild metric; (right) the same lines projected on a plane (‘bird’s-eye view’). The distribution of the fictitious surface charge σ H is shown on the horizon. The charge q is assumed to be positive.
The electric field E, defined as Ei = −α−1gi j At, j, is
(1.4)
where eȓ and e ˆθ are unit vectors along the directions of r and θ, respectively.
It is easy to see that at the horizon Eθ → 0 so that electric lines of force intersect the horizon at right angles. The total flux of E across the horizon is zero (the black hole is uncharged). The pattern of electric lines of force is shown in figure 1.1.
The fictitious charge surface density at the boundary of the black hole is
(1.5)
Let us bring the charge closer to the horizon (r0 → 2M). At a distance r >> r0 − 2M from the horizon, the lines of force become practically radial and the field strength tends to q/r 2. With the exception of a narrow region close to the horizon, the general picture is almost the same as for a charge placed at the center of the black hole.
الاكثر قراءة في الثقوب السوداء
اخر الاخبار
اخبار العتبة العباسية المقدسة
الآخبار الصحية

قسم الشؤون الفكرية يصدر كتاباً يوثق تاريخ السدانة في العتبة العباسية المقدسة
"المهمة".. إصدار قصصي يوثّق القصص الفائزة في مسابقة فتوى الدفاع المقدسة للقصة القصيرة
(نوافذ).. إصدار أدبي يوثق القصص الفائزة في مسابقة الإمام العسكري (عليه السلام)