
تاريخ الفيزياء

علماء الفيزياء


الفيزياء الكلاسيكية

الميكانيك

الديناميكا الحرارية


الكهربائية والمغناطيسية

الكهربائية

المغناطيسية

الكهرومغناطيسية


علم البصريات

تاريخ علم البصريات

الضوء

مواضيع عامة في علم البصريات

الصوت


الفيزياء الحديثة


النظرية النسبية

النظرية النسبية الخاصة

النظرية النسبية العامة

مواضيع عامة في النظرية النسبية

ميكانيكا الكم

الفيزياء الذرية

الفيزياء الجزيئية


الفيزياء النووية

مواضيع عامة في الفيزياء النووية

النشاط الاشعاعي


فيزياء الحالة الصلبة

الموصلات

أشباه الموصلات

العوازل

مواضيع عامة في الفيزياء الصلبة

فيزياء الجوامد


الليزر

أنواع الليزر

بعض تطبيقات الليزر

مواضيع عامة في الليزر


علم الفلك

تاريخ وعلماء علم الفلك

الثقوب السوداء


المجموعة الشمسية

الشمس

كوكب عطارد

كوكب الزهرة

كوكب الأرض

كوكب المريخ

كوكب المشتري

كوكب زحل

كوكب أورانوس

كوكب نبتون

كوكب بلوتو

القمر

كواكب ومواضيع اخرى

مواضيع عامة في علم الفلك

النجوم

البلازما

الألكترونيات

خواص المادة


الطاقة البديلة

الطاقة الشمسية

مواضيع عامة في الطاقة البديلة

المد والجزر

فيزياء الجسيمات


الفيزياء والعلوم الأخرى

الفيزياء الكيميائية

الفيزياء الرياضية

الفيزياء الحيوية

الفيزياء والفلسفة

الفيزياء العامة


مواضيع عامة في الفيزياء

تجارب فيزيائية

مصطلحات وتعاريف فيزيائية

وحدات القياس الفيزيائية

طرائف الفيزياء

مواضيع اخرى
Equations of motion of a free test particle
المؤلف:
Heino Falcke and Friedrich W Hehl
المصدر:
THE GALACTIC BLACK HOLE Lectures on General Relativity and Astrophysics
الجزء والصفحة:
p 129
2-2-2017
1939
Equations of motion of a free test particle
1.1 Orbits are planar
Consider a particle moving in the Schwarzschild metric. Using spherical symmetry, one can always choose coordinates so that at the initial moment τ0 one has θ0 = π/2 and (dθ/dτ)|0 = 0. Since the only non-vanishing components of Γθμν are
(1.1)
the θ-component of the geodesic equation of motion takes the form
(1.2)
A solution of this equation for the given initial data is θ = π/2. Thus, the trajectory of a particle is planar and we can assume it to lie in the equatorial plane θ = π/2.
1.2 Effective potential
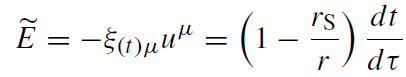
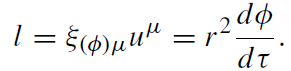
The Schwarzschild metric is invariant under time t and angular coordinate φ translations. The corresponding conserved quantities are (θ = π/2):
(1.3)
(1.4)
Ẽ = E/m is the specific energy of a particle (E being the energy, and m being the mass of the particle). The quantity l = L/m is the specific angular momentum of a particle (L being its angular momentum). For the motion in the equatorial plane, the total angular momentum coincides with the azimuthal angular momentum. For a motion of the particle in the black hole exterior, both t and φ are monotonic functions of τ .
Using these relations and the normalization condition for the four-velocity uμ
(1.5)
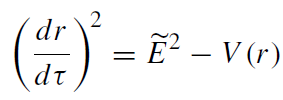
one gets :
(1.6)
where we introduced the effective potential
(1.7)

Figure 1.1. Effective potential U(x) as a function of x = r/rS and for a specific angular momentum ˜L of a particle.
1.3 Properties of the effective potential
Different types of particle trajectory can be classified by studying the turning points of its radial motion where
V (r ) = Ẽ2. (1.8)
The only scale parameter in the problem is the gravitational radius of the black hole. Using again the dimensionless coordinate x and ˜L = l/rS we can rewrite V (x) according to
(1.9)
The effective potential U(x) is shown in figure 1.1. For fixed |˜L | ≥ √3, U as a function of x has a maximum at x+ and a minumum at x−, where
(1.10)
For ˜L = √3, x− = x+ = 3. A heavy full line in figure 5.1 shows the position of the extrema.
الاكثر قراءة في الثقوب السوداء
اخر الاخبار
اخبار العتبة العباسية المقدسة
الآخبار الصحية

قسم الشؤون الفكرية يصدر كتاباً يوثق تاريخ السدانة في العتبة العباسية المقدسة
"المهمة".. إصدار قصصي يوثّق القصص الفائزة في مسابقة فتوى الدفاع المقدسة للقصة القصيرة
(نوافذ).. إصدار أدبي يوثق القصص الفائزة في مسابقة الإمام العسكري (عليه السلام)