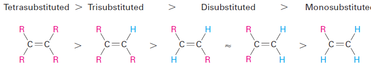
Stability of Alkenes
المؤلف:
John McMurry
المصدر:
Organic Chemistry
الجزء والصفحة:
9th. p 198
18-5-2017
3452
Stability of Alkenes
Although the cis–trans interconversion of alkene isomers does not occur spontaneously, it can often be brought about by treating the alkene with a strong acid catalyst. If we interconvert cis-2-butene with trans-2-butene and allow them to reach equilibrium, we find that they aren’t of equal stability. The trans isomer is more stable than the cis isomer by 2.8 kJ/mol (0.66 kcal/mol) at room temperature, corresponding to a 76;24 ratio.
