

علم الكيمياء

تاريخ الكيمياء والعلماء المشاهير

التحاضير والتجارب الكيميائية

المخاطر والوقاية في الكيمياء

اخرى

مقالات متنوعة في علم الكيمياء

كيمياء عامة


الكيمياء التحليلية

مواضيع عامة في الكيمياء التحليلية

التحليل النوعي والكمي

التحليل الآلي (الطيفي)

طرق الفصل والتنقية


الكيمياء الحياتية

مواضيع عامة في الكيمياء الحياتية

الكاربوهيدرات

الاحماض الامينية والبروتينات

الانزيمات

الدهون

الاحماض النووية

الفيتامينات والمرافقات الانزيمية

الهرمونات


الكيمياء العضوية

مواضيع عامة في الكيمياء العضوية

الهايدروكاربونات

المركبات الوسطية وميكانيكيات التفاعلات العضوية

التشخيص العضوي

تجارب وتفاعلات في الكيمياء العضوية


الكيمياء الفيزيائية

مواضيع عامة في الكيمياء الفيزيائية

الكيمياء الحرارية

حركية التفاعلات الكيميائية

الكيمياء الكهربائية


الكيمياء اللاعضوية

مواضيع عامة في الكيمياء اللاعضوية

الجدول الدوري وخواص العناصر

نظريات التآصر الكيميائي

كيمياء العناصر الانتقالية ومركباتها المعقدة


مواضيع اخرى في الكيمياء

كيمياء النانو

الكيمياء السريرية

الكيمياء الطبية والدوائية

كيمياء الاغذية والنواتج الطبيعية

الكيمياء الجنائية


الكيمياء الصناعية

البترو كيمياويات

الكيمياء الخضراء

كيمياء البيئة

كيمياء البوليمرات

مواضيع عامة في الكيمياء الصناعية

الكيمياء الاشعاعية والنووية
Synthesis of Steroids
المؤلف:
LibreTexts project
المصدر:
........
الجزء والصفحة:
........
18-12-2021
2796
Synthesis of Steroids
One of the most notable achievements of the 1950's was the total synthesis of a number of important steroids, including estrone, cholesterol, cortisone, androsterone, and testosterone. The courses of some of these syntheses are extraordinarily complex and involve large numbers of steps. Although they have not surpassed Nature in providing practical quantities of synthetic steroids, they have led to the development of key reactions of general use in organic synthesis. An especially useful reaction for building fused ring systems is the so-called Robinson annelation reaction developed by Sir Robert Robinson (Nobel Prize, 1947) and J. W. Cornforth (Nobel Prize, 1975). The reaction involves a Michael addition to an αα,ββ-unsaturated ketone immediately followed by an aldol addition:

The pharmacological importance of many natural steroids has stimulated much synthetic work in an effort to obtain practical quantities of naturally occurring and unnatural steroids. Oftentimes a combination of biosynthesis and organic synthesis works best. For example, the need for large quantities of cortisone derivatives for therapeutic use in treatment of arthritis and similar metabolic diseases has led to intensive research on synthetic approaches for methods of producing steroids with oxygen functions at C11, which is not a particularly common point of substitution in steroids.
An efficient way of doing this is by microbiological oxidation. Cortisone can be manufactured on a relatively large scale from the saponin, diosgenin, which is isolated from tubers of a Mexican yam of the genus Dioscorea. Diosgenin is converted to progesterone, then by a high-yield (80%-90%) oxidation with the mold, Rhizopus nigricans, to 11-hydroxyprogesterone and finally to cortisone:


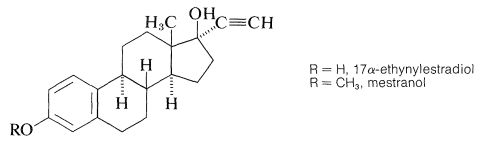
Especially important steroid derivatives in use today are the synthetic estrogens, 17-α-ethynylestradiol and its 3-OCH3 derivative, mestranol:

Both of these compounds have potent estrogenic activity (inhibit ovulation) and are widely used as oral contraceptives. They are synthesize from the natural estrogen, estrone, by the following reaction:

A compound known as diethylstilbestrol (DES) also exhibits estrogenic activity even though it is unrelated structurally to steroidal estrogens. It has acquired notoriety as a possible cause of uterine cancer. Diethylstilbestrol has been used extensively as an additive in cattle and chicken feed because it gives a greater gain in weight for a given amount of feed.

الاكثر قراءة في كيمياء الاغذية والنواتج الطبيعية
اخر الاخبار
اخبار العتبة العباسية المقدسة
الآخبار الصحية

قسم الشؤون الفكرية يصدر كتاباً يوثق تاريخ السدانة في العتبة العباسية المقدسة
"المهمة".. إصدار قصصي يوثّق القصص الفائزة في مسابقة فتوى الدفاع المقدسة للقصة القصيرة
(نوافذ).. إصدار أدبي يوثق القصص الفائزة في مسابقة الإمام العسكري (عليه السلام)