التداخل من مصدرين نقطيين (تداخل شقي يونغ)
المؤلف:
محمد عطية سويلم، د. محمد روبين إدريس، بديع صالح الخطيب، د. أحمد يوسف قواسمة
المصدر:
الفيزياء العامة
الجزء والصفحة:
ص 336
27-11-2019
4653
التداخل من مصدرين نقطيين (تداخل شقي يونغ)
لنفرض ضوء ذا طول موجي ثابت ينفذ من فتحة صغيرة (s) والضوء الخارج من هذه الفتحة يصل إلى فتحتين مستطيلتين نقطتين (s2) ، (s1) ولهما البعد نفسه عن (s) والمسافة بينهما صغيرة 1مم مثلا أو أقل واذا سمح للضوء الخارج من الفتحتين (s2) ، (s1) ، أن يسقط على حاجز (ح2) لاحظ الشكل (1) وهذا النمط عبارة عن مناطق مضيئة تتخللها مناطق معتمدة ولكن كيف حدث التداخل في هذه التجربة ؟
الشكل (1)
عند وصول مقدمة الموجة الضوئية من الفتحة (s) إلى الفتحتين (s2) ، (s1) ، فان هاتين الفتحتين تسلكان وكأنهما مصدران للضوء (حسب قاعدة هيغنز) فتصدران موجات بنفس الاتجاه ، وبنفس الطور . والتردد والاتساع وحالة الاستقطاب . وعند التقاء الموجات القادمة من المصدين (s2) ، (s1) ، على مناطق الحاجز المختلفة ، فان تداخلا بناء يحدث في قسم من هذه المناطق ، كما يحدث تداخل هدام في القسم الآخر . دعنا الآن نتبين ذلك بالتفصيل ، ونحسب ابعاد المناطق المضيئة والمعتمة عن الخط المركزي (وهو الخط الذي ينصف المسافة بين (s1 , s2) ويكون عموديا على كل من حاجز الفتحتين (ح1) والحاجز (ح2) .

الشكل (2)
لننظر الى الشكل (2) . ولنأخذ على سبيل المثال النقطة (أ) على الحاجز (ح2) ، إن الموجة القادمة الى (أ) من (s1) تقطع المسافة (s1p) في حين تقطع الموجة (s2) مسافة أكبر ، وهي s2p فإذا كان الفرق في المسار الضوئي بين الموجة من (s1) والموجة من (s2) عدداً صحيحاً من الموجات فإن التداخل بين هاتين الموجتين سيكون بناء ، أي أنه في حالة التداخل البناء :
(1) ………….. s2 p-s1 p = n ʎ
حيث (ʎ) الطول الموجي للضوء المستخدم و (n) صفر او عدد صحيح ، اي أنها تأخذ القيم 0 , 1 , 2 , 3 , 4 ..... الخ . اما اذا كان الفرق في المسار الضوئي يساوي عدداً فردياً مضروبا في نصف الطول الموجي ، فإن التداخل سيكون هداماً ، أي أنه في حالة التداخل الهدام .
(2)....................
حيث (n) عدد صحيح فردي ، اي يأخذ القيم 1 ، 3 ، 5 ، 7 ... الخ والآن لنحسب بعد المنطقة المضيئة او المعتمة عن الخط المركزي م مَ ليكن هذا البعد (Y) ، ولتكن بين الفتحتين (S1) ، وهي (d) ، وبعد حاجز الفتحتين (ح1) عن الحاجز الذي سيتكون عليه نمط التداخل (ح2) هو (r) .
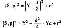
بتطبيق نظرية فيثاغورس على المثلث e p s1 القائم الزاوية ، نحصل على
(3)..............
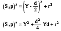
كذلك بتطبيق نظرية فيثاغورس على المثلث S2Pf القائم الزاوية ، نحصل على :
(4)..................
وبذلك فإن :
ويطرح (3) من (4) ، نحصل على :
(5)...................
(6)..................
وبتعويض قيمة (S2P)2- (S1P)2 هذه في العلاقة (5) نحصل على :
ولكن :
(7)........
واذا كانت (d) صغيرة جداً النسبة الى (r) فإن :
(8).........
ومن هنا ، فإن العلاقة (7) يمكن كتابتها كما يلي :
(9).........
(10).......
اي أن :
وذلك ، فإن علاقة التداخل البناء :ʎS2P – S1P = n تصبح كما يأتي :
(11).........
(12)...........
ومن ثم ، فإن(λ( تعطى بالعلاقة :
(13).............
حيث n تأخذ القيم ……... , 4 , 3 , 2 , 0 الخ (صفر للمنطقة المضيئة الوسطى ، 1 للمنطقة المضيئة الأولى ، 2 للمضيئة الثانية ، 3 للمنطقة المضيئة الثالثة وهكذا) .
أما علاقة التداخل الهدام
فتصبح كما يأتي :
.............14
ومن ثم ، فإن (y) تعطى بالعلاقة :
(15)............
حيث n تأخذ القيم (1 ، 3 ، 5 ، 7 .... الخ) (1 للمنطقة المظلمة الأولى ، 3 للمظلمة الثانية ، 5 للمنطقة المظلمة الثالثة .. وهكذا) .
نستطيع الحصول على ضوء ذي طول موجي ثابت تقريبا بتمرير طيف ضوئي مستمر من خلال مرشحة (filter) تعمل على منع كل الألوان ما عدا مدى ضيق من أطوال الموجبات ، فعلى سبيل المثال ، نستعمل مصابيح التفريغ الغازية التي تزودنا بحزمة موجية ضيقة تدعى خذ الطيف (spectrum line) وفي الآونة الاخيرة استحدث العلماء مصادر ضوئية تصلح لأحداث ظاهرة التداخل، وهذه المصادر هي الليزرات، لما تتميز به من مقدرة على استحداث طول موجي محدد تماما .
ليزر الهيليوم النيون يصدر ضوءاً مرئيا طول موجته 8.632 نانومتر بخط عرضه (10-7) نانومتر ، أي أن الدقة في اختيار التردد تصل إلى مدى يمكن بواسطته مشاهدة ظاهرة التداخل بسهولة ويسر .
الاكثر قراءة في الضوء
اخر الاخبار
اخبار العتبة العباسية المقدسة