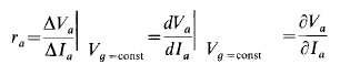
مقاومة الأنود الديناميكية ra
المؤلف:
د/محمد فاروق أحمد و د/محمد خضر كاتب
المصدر:
أسس الإلكترونيات
الجزء والصفحة:
71
3-9-2021
3176
مقاومة الأنود الديناميكية ra
وهي تعكس طابع تأثير أي تغير في الجهد الأنودي على التيار الأنودي وذلك عند ثبات جهد الشبكة أي

ويسهل تحديد المقاومة الديناميكية (يطلق عليها أحياناً المقاومة الداخلية) من مجموعة المميزة الأنودية بإستخدام نقطتين على المنحنى المعين .
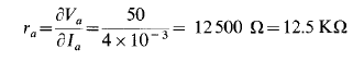
مثال : حدد قيمة مقاومة الأنود الديناميكية لصمام ثلاثي تغير تياره الأنودي بمقدار 4 مللي أمبير عند تغيير جهد الأنود بمقدار 50 فولت علما بأن جهد الشبكة كان ثابتا .

الاكثر قراءة في الألكترونيات
اخر الاخبار
اخبار العتبة العباسية المقدسة