النمط الأول
النمط الثاني
الرئيسية
الأخبار
صور
فيديو
صوت
أقلام
مفتاح
رشفات
المشكاة
منشور
اضاءات
ثقف
قصص
علم الفيزياء
تاريخ الفيزياء
علماء الفيزياء
الفيزياء الكلاسيكية
الميكانيك
الديناميكا الحرارية
الكهربائية والمغناطيسية
الكهربائية
المغناطيسية
الكهرومغناطيسية
علم البصريات
تاريخ علم البصريات
الضوء
مواضيع عامة في علم البصريات
الصوت
الفيزياء الحديثة
النظرية النسبية
النظرية النسبية الخاصة
النظرية النسبية العامة
مواضيع عامة في النظرية النسبية
ميكانيكا الكم
الفيزياء الذرية
الفيزياء الجزيئية
الفيزياء النووية
مواضيع عامة في الفيزياء النووية
النشاط الاشعاعي
فيزياء الحالة الصلبة
الموصلات
أشباه الموصلات
العوازل
مواضيع عامة في الفيزياء الصلبة
فيزياء الجوامد
الليزر
أنواع الليزر
بعض تطبيقات الليزر
مواضيع عامة في الليزر
علم الفلك
تاريخ وعلماء علم الفلك
الثقوب السوداء
المجموعة الشمسية
الشمس
كوكب عطارد
كوكب الزهرة
كوكب الأرض
كوكب المريخ
كوكب المشتري
كوكب زحل
كوكب أورانوس
كوكب نبتون
كوكب بلوتو
القمر
كواكب ومواضيع اخرى
مواضيع عامة في علم الفلك
النجوم
البلازما
الألكترونيات
خواص المادة
الطاقة البديلة
الطاقة الشمسية
مواضيع عامة في الطاقة البديلة
المد والجزر
فيزياء الجسيمات
الفيزياء والعلوم الأخرى
الفيزياء الكيميائية
الفيزياء الرياضية
الفيزياء الحيوية
الفيزياء العامة
مواضيع عامة في الفيزياء
تجارب فيزيائية
مصطلحات وتعاريف فيزيائية
وحدات القياس الفيزيائية
طرائف الفيزياء
مواضيع اخرى
حساب عامل لانده g
المؤلف: الدكتور محمد انور بطل
المصدر: الفيزياء الذرية والجزيئية
الجزء والصفحة: ص 150
6-2-2022
2128
+
-
20
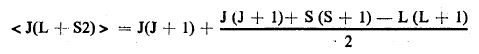
لدينا :
لإيجاد g نأخذ المؤثر:
لكن:
إذاً:
ضمن التمثيل <L2,SJm| إن القيمة المتوسطة ل (L+2S) J هي:
........(1)
لدينا:
........(2)
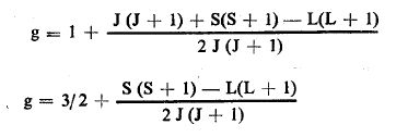
بمطابقة (1) و(2) نجد قيمة g.
مستويات طاقة الهيدروجين
التاريخ الحديث للذرات
الأعداد الكمية ومبدأ بأولى للاستبعاد
إسهامات الفيزياء الذرية
النظرية الموجية للذرة
طيف الهيدروجين
الفا – بيتا – كاما
العزم الحركي والعزم المغناطيسي للأنوية
ذرة الهيدروجين شبه الكلاسيكية
الذرات والجزيئات Atoms and Molecules
طيوف الاصدار والامتصاص
أشعة إكس (السينية) واطياف الذرات عديدة الإلكترونات
نظرية رايلي – جينز الكلاسيكية
الأرقام الذرية وتركيب الذرة
امتصاص الأشعة السينية
مجموعة مشاتل الكفيل تشارك في مؤتمر الوظائف الثاني بجامعة كربلاء
من التعلم إلى التأثير.. المرأة شريك في بناء الهوية والقيم
قسم شؤون المعارف يستعدّ لإطلاق الموسم السادس من مسابقة معارف التراث الرمضانية
جامعة الكفيل تنظّم محاضرة أكاديمية حول التفكير الناضج وآليات ضبط ردود الفعل
تحقيق أميركي في وفيات يحتمل ارتباطها بلقاحات كورونا ؟
اضطرابات الغذاء لدى الأم أثناء الحمل.. كيف تؤثر على الجنين؟
ماذا يحصل لجسمك عند التوقف عن تناول اللحوم؟
منها الخضروات المقرمشة.. 6 أطعمة تبدو صحية لكنها مضرة
سامسونغ تطلق هاتف "غالاكسي زد تراي فولد" في كوريا الجنوبية
هجمات "الزيرو كليك" تهدد الهواتف عالميا.. ماذا يمكن أن نفعل؟
"ناسا" تفقد الاتصال بمركبة "مافن" في مدار المريخ
طفرة قاتلة في حيوانات منوية من متبرع تصيب 200 طفل في أوروبا !
اشترك بقناتنا على التلجرام ليصلك كل ما هو جديد