

علم الكيمياء

تاريخ الكيمياء والعلماء المشاهير

التحاضير والتجارب الكيميائية

المخاطر والوقاية في الكيمياء

اخرى

مقالات متنوعة في علم الكيمياء

كيمياء عامة


الكيمياء التحليلية

مواضيع عامة في الكيمياء التحليلية

التحليل النوعي والكمي

التحليل الآلي (الطيفي)

طرق الفصل والتنقية


الكيمياء الحياتية

مواضيع عامة في الكيمياء الحياتية

الكاربوهيدرات

الاحماض الامينية والبروتينات

الانزيمات

الدهون

الاحماض النووية

الفيتامينات والمرافقات الانزيمية

الهرمونات


الكيمياء العضوية

مواضيع عامة في الكيمياء العضوية

الهايدروكاربونات

المركبات الوسطية وميكانيكيات التفاعلات العضوية

التشخيص العضوي

تجارب وتفاعلات في الكيمياء العضوية


الكيمياء الفيزيائية

مواضيع عامة في الكيمياء الفيزيائية

الكيمياء الحرارية

حركية التفاعلات الكيميائية

الكيمياء الكهربائية


الكيمياء اللاعضوية

مواضيع عامة في الكيمياء اللاعضوية

الجدول الدوري وخواص العناصر

نظريات التآصر الكيميائي

كيمياء العناصر الانتقالية ومركباتها المعقدة


مواضيع اخرى في الكيمياء

كيمياء النانو

الكيمياء السريرية

الكيمياء الطبية والدوائية

كيمياء الاغذية والنواتج الطبيعية

الكيمياء الجنائية


الكيمياء الصناعية

البترو كيمياويات

الكيمياء الخضراء

كيمياء البيئة

كيمياء البوليمرات

مواضيع عامة في الكيمياء الصناعية

الكيمياء التناسقية

الكيمياء الاشعاعية والنووية
الثيامين Thiamin (فيتامين B1)
المؤلف:
د. طارق يونس احمد / د. لؤي عبد علي الهلالي
المصدر:
الكيمياء الحياتية
الجزء والصفحة:
ج 1 ص 228-230
2023-11-18
2580
الصفات العامة:
1- يتكون الثيامين من حلقة البريميدين ونواة الثايوزول Thiazole التي ترتبط مع بعضها ببعض بمجموعة مثيل (الشكل 1-9).
2- الثيامين لا يتأثر بالحرارة وثابت في المحاليل الحامضية ومتغير في المحاليل القاعدية وهو يمتلك تركيباً أبيض اللون سهل الذوبان في الماء.
3- يكثر فيتامين B1 في اللحوم بصورة عامة والكبد والبيض فضلاً عن وجوده في الخبز ولاسيما الحاوية على القشور (أو النخالة).
4- الثيايمين يتحول الـ شكل الفعال وهو ثيامين بايروفوسفات (Thiamine pyrophosphate (TPP ويرافق إنزيمات الديكاربوكسيليز Decarboxylase وينتج من تفاعل ATP مع الثيامين وإنزيم بايروفوسفوكاينيز Pyrophospho kinase (الشكل1-9).

5- يشترك TPP في العمليات الأيضية للكاربوهيدرات والبروتينات والدهون من خلال ارتباطه مع عمليات الأكسدة وإزالة الكاربوكسيل Oxidative decarboxylation كما في التفاعلات الآتية:
أ- تحول حامض البايروفيك الى أسيتايل مرافق الإنزايم A من قبل إنزيم بايروفيت ديهايدروجينيز المعقد Pyruvate dehydrogenase complex كما في المعادلة أدناه:

ب- تحول ألفا - كيتوكلوتاريت إلى سكسنايل مرافق الإنزيم A بوساطة إنزيم ألفا – كيتوكلوتاريــــت ديهيدروجينيز المعقد ketoglutarate dehydrogenase complex كما في المعادلة أدناه:

جـ - يدخل في تفاعل إزالة المجموعة الكاربوكسيلية من الأحماض الكيتونية -Keto acidα وتتضمن تحويل البايروفيت إلى أسيتالديهايد في الخميرة بفعل إنزيم بايروفيت ديكاربوكسيليز Pyruvate decarboxylase كما في المعادلة الآتية:

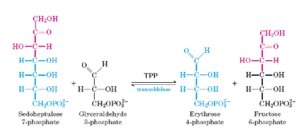
د- له دور كمرافق لإنزيم الترانس كيتوليز Transketolase وترانس الدوليز Transaldolase ، فالإنزيم الأول يعمل على نقل ذرتي كاربون على شكل كلايكو ألديهايد أما الإنزيم الثاني فيعمل على نقل ثلاث ذرات كاربون على شكل ثنائي هيدروكسي أسيتون كما في التفاعلات الآتية تستخدم هذه التفاعلات لتكوين سكريات مختلفة والتي سوف يتم ذكرها في الفصل الثاني من الجزء الثاني).


6- نقصه يؤدي إلى تشويش فكري (قلة التركيز) وفقدان الشهية وضعف وشلل عضلي Paralysis وعجز القلب (مرض بري Beri beri ) فضلاً عن ذلك فإن نقصه يؤدي إلى عدم تحول البايروفيت إلى أسيتايل مرافق الإنزيم A وبالتالي فأن تناول الكاربوهيدرات بكميات عالية يؤدي إلى زيادة البايروفيت واللاكتيت في الجسم وحدوث زيادة الحموضة Lactic acidosis عن طريق اللاكتيت الفائض.
7- تزداد إحتياج الجسم من الثايمين كلما زادت كمية المواد السكرية التي يتناولها الإنسان عن نسبة المواد الدهنية والبروتينية المتناولة نتيجة لعلاقة الثايمين بأيض المواد السكرية وتعتمد حاجة الجسم من الثايميين على حجم الجسم وفعاليته ودرجة حرارة الجو والحالة الفسيولوجية.
الاكثر قراءة في الفيتامينات والمرافقات الانزيمية
اخر الاخبار
اخبار العتبة العباسية المقدسة
الآخبار الصحية

قسم الشؤون الفكرية يصدر كتاباً يوثق تاريخ السدانة في العتبة العباسية المقدسة
"المهمة".. إصدار قصصي يوثّق القصص الفائزة في مسابقة فتوى الدفاع المقدسة للقصة القصيرة
(نوافذ).. إصدار أدبي يوثق القصص الفائزة في مسابقة الإمام العسكري (عليه السلام)