

علم الكيمياء

تاريخ الكيمياء والعلماء المشاهير

التحاضير والتجارب الكيميائية

المخاطر والوقاية في الكيمياء

اخرى

مقالات متنوعة في علم الكيمياء

كيمياء عامة


الكيمياء التحليلية

مواضيع عامة في الكيمياء التحليلية

التحليل النوعي والكمي

التحليل الآلي (الطيفي)

طرق الفصل والتنقية


الكيمياء الحياتية

مواضيع عامة في الكيمياء الحياتية

الكاربوهيدرات

الاحماض الامينية والبروتينات

الانزيمات

الدهون

الاحماض النووية

الفيتامينات والمرافقات الانزيمية

الهرمونات


الكيمياء العضوية

مواضيع عامة في الكيمياء العضوية

الهايدروكاربونات

المركبات الوسطية وميكانيكيات التفاعلات العضوية

التشخيص العضوي

تجارب وتفاعلات في الكيمياء العضوية


الكيمياء الفيزيائية

مواضيع عامة في الكيمياء الفيزيائية

الكيمياء الحرارية

حركية التفاعلات الكيميائية

الكيمياء الكهربائية


الكيمياء اللاعضوية

مواضيع عامة في الكيمياء اللاعضوية

الجدول الدوري وخواص العناصر

نظريات التآصر الكيميائي

كيمياء العناصر الانتقالية ومركباتها المعقدة


مواضيع اخرى في الكيمياء

كيمياء النانو

الكيمياء السريرية

الكيمياء الطبية والدوائية

كيمياء الاغذية والنواتج الطبيعية

الكيمياء الجنائية


الكيمياء الصناعية

البترو كيمياويات

الكيمياء الخضراء

كيمياء البيئة

كيمياء البوليمرات

مواضيع عامة في الكيمياء الصناعية

الكيمياء التناسقية

الكيمياء الاشعاعية والنووية
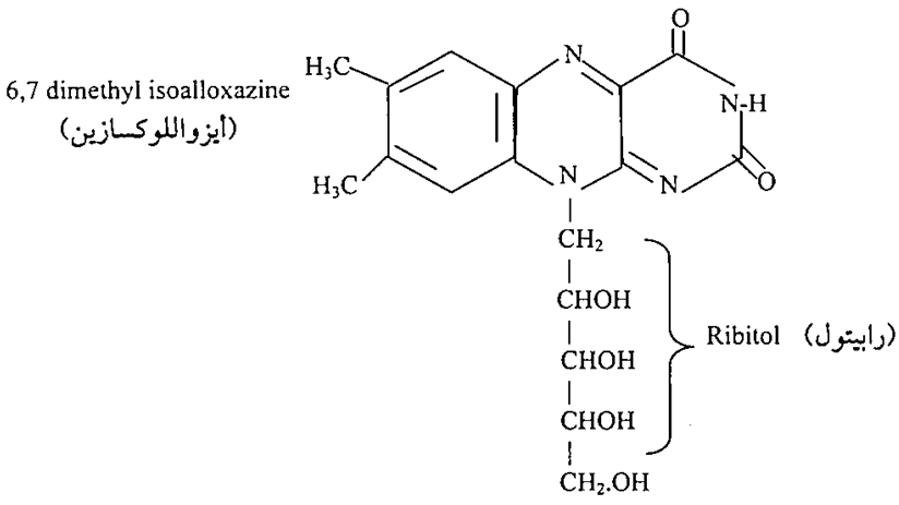
فيتامين (B2) الرايبوفلافين (Riboflavin)
المؤلف:
أ.د.عيسى عبد السعداوي
المصدر:
الكيمياء الحيوية النظري
الجزء والصفحة:
ص 259
10-5-2016
11326
فيتامين (B2) الرايبوفلافين (Riboflavin)
وهو مادة بلورية صفراء اللون تذوب في الماء، وتقاوم الحرارة خاصة في المحيط الحامضي. وهو حساس تجاه الضوء، يوجد في الطبيعة بشكله الحر، او المرتبط مع الفوسفات، او يوجد على شكل فلافوبروتين (Flavo Protein)، ويعتبر الرايبوفلافين واحدا من أكثر فيتامينات (B) تواجداً فيا لطبيعة، غير ان المصادر الغنية بهذا الفيتامين تعد قليلة، فالحليب هو أحد أهم المصادر لهذا الفيتامين، تليه اللحوم، والكبد، والكلية، والسمك، والبيض. اما الحبوب والطحين فتعتبر من المصادر غير الجيدة ويمكن تصنيع هذا الفيتامين بواسطة البكتريا.

