

علم الكيمياء

تاريخ الكيمياء والعلماء المشاهير

التحاضير والتجارب الكيميائية

المخاطر والوقاية في الكيمياء

اخرى

مقالات متنوعة في علم الكيمياء

كيمياء عامة


الكيمياء التحليلية

مواضيع عامة في الكيمياء التحليلية

التحليل النوعي والكمي

التحليل الآلي (الطيفي)

طرق الفصل والتنقية


الكيمياء الحياتية

مواضيع عامة في الكيمياء الحياتية

الكاربوهيدرات

الاحماض الامينية والبروتينات

الانزيمات

الدهون

الاحماض النووية

الفيتامينات والمرافقات الانزيمية

الهرمونات


الكيمياء العضوية

مواضيع عامة في الكيمياء العضوية

الهايدروكاربونات

المركبات الوسطية وميكانيكيات التفاعلات العضوية

التشخيص العضوي

تجارب وتفاعلات في الكيمياء العضوية


الكيمياء الفيزيائية

مواضيع عامة في الكيمياء الفيزيائية

الكيمياء الحرارية

حركية التفاعلات الكيميائية

الكيمياء الكهربائية


الكيمياء اللاعضوية

مواضيع عامة في الكيمياء اللاعضوية

الجدول الدوري وخواص العناصر

نظريات التآصر الكيميائي

كيمياء العناصر الانتقالية ومركباتها المعقدة


مواضيع اخرى في الكيمياء

كيمياء النانو

الكيمياء السريرية

الكيمياء الطبية والدوائية

كيمياء الاغذية والنواتج الطبيعية

الكيمياء الجنائية


الكيمياء الصناعية

البترو كيمياويات

الكيمياء الخضراء

كيمياء البيئة

كيمياء البوليمرات

مواضيع عامة في الكيمياء الصناعية

الكيمياء التناسقية

الكيمياء الاشعاعية والنووية
Palladium-catalysed C-C bond-forming reactions
المؤلف:
Peter Atkins, Tina Overton, Jonathan Rourke, Mark Weller, and Fraser Armstrong
المصدر:
Shriver and Atkins Inorganic Chemistry ,5th E
الجزء والصفحة:
ص701-703
2025-10-18
547
Palladium-catalysed C-C bond-forming reactions
Key points: A number of palladium-catalysed coupling reactions are known; they all proceed through oxidative addition of reagents at the metal centre followed by the reductive elimination of the two fragments.

Figure 26.10 The Jacobsen epoxidation relies on a manganese complex of a salen-based ligand and chlorate(I).
A large number of palladium-catalysed carbon-carbon bond-forming (‘coupling’) reactions are known. They include the coupling of a Grignard with an aryl halide and the Heck, Stille, and Suzuki coupling reactions:

Normally, either a Pd (II) complex, such as [PdCl2 (PPh3)2], in the presence of additional phosphine or a Pd (0) compound, such as [Pd(PPh3)4], is used as the catalyst, although many other Pd/ligand combinations are active. The precise reaction pathway is unclear (and probably differs with each Pd/ligand/substrate combination) but it is apparent that all these reactions follow the same general sequence. Figure 26.11 shows an idealized catalytic cycle for the coupling of an ethenyl group with an aryl halide. An initial oxidative

Figure 26.11 An idealized catalytic cycle for the coupling of a substituted prop-1-ene to an aryl halide in the Heck reaction.
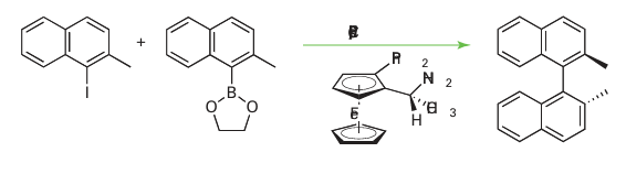
addition of an aryl–halogen bond to an unsaturated Pd(0) complex (A) results in a Pd(II) species (B). Coordination of an alkene results in complex (C); 1,2-insertion results in an alkyl complex (D), which can be deprotonated with the loss of the halide to give the org anic product attached to the palladium atom (E). In other palladium-catalysed coupling reactions, such as that of a Grignard reagent with an aryl halide, initial oxidative addition proceeds as in Fig. 26.11. The second organic group is thought to be introduced with the Grignard reagent behaving as the nucleophilic R group displacing the halide at the metal centre in (B), to give two organic fragments attached to the Pd atom, as indicated in Fig. 26.12. These two adjacent fragments can then couple and reductively eliminate to regenerate the starting Pd (0) species (A). In all palladium-catalysed coupling reactions, it is necessary for the two fragments that are coupling to be cis to each other at the metal centre before insertion or reductive elimination can take place; this requirement has led to the use of chelating diphosphines such as dppe (9) and the ferrocene derivative (10). Palladium-catalysed coupling reactions are tolerant to a wide range of substitution on both fragments and, with suitable substrates and appropriate chiral ligands, asymmetric reactions are possible too. The reaction

was the first published example of an asymmetric Suzuki reaction.

Figure 26.12 The exchange of a halide for an organic fragment at a Pd centre can be thought of as nucleophilic displacement.

الاكثر قراءة في مواضيع عامة في الكيمياء العضوية
اخر الاخبار
اخبار العتبة العباسية المقدسة
الآخبار الصحية

قسم الشؤون الفكرية يصدر كتاباً يوثق تاريخ السدانة في العتبة العباسية المقدسة
"المهمة".. إصدار قصصي يوثّق القصص الفائزة في مسابقة فتوى الدفاع المقدسة للقصة القصيرة
(نوافذ).. إصدار أدبي يوثق القصص الفائزة في مسابقة الإمام العسكري (عليه السلام)