

علم الكيمياء

تاريخ الكيمياء والعلماء المشاهير

التحاضير والتجارب الكيميائية

المخاطر والوقاية في الكيمياء

اخرى

مقالات متنوعة في علم الكيمياء

كيمياء عامة


الكيمياء التحليلية

مواضيع عامة في الكيمياء التحليلية

التحليل النوعي والكمي

التحليل الآلي (الطيفي)

طرق الفصل والتنقية


الكيمياء الحياتية

مواضيع عامة في الكيمياء الحياتية

الكاربوهيدرات

الاحماض الامينية والبروتينات

الانزيمات

الدهون

الاحماض النووية

الفيتامينات والمرافقات الانزيمية

الهرمونات


الكيمياء العضوية

مواضيع عامة في الكيمياء العضوية

الهايدروكاربونات

المركبات الوسطية وميكانيكيات التفاعلات العضوية

التشخيص العضوي

تجارب وتفاعلات في الكيمياء العضوية


الكيمياء الفيزيائية

مواضيع عامة في الكيمياء الفيزيائية

الكيمياء الحرارية

حركية التفاعلات الكيميائية

الكيمياء الكهربائية


الكيمياء اللاعضوية

مواضيع عامة في الكيمياء اللاعضوية

الجدول الدوري وخواص العناصر

نظريات التآصر الكيميائي

كيمياء العناصر الانتقالية ومركباتها المعقدة


مواضيع اخرى في الكيمياء

كيمياء النانو

الكيمياء السريرية

الكيمياء الطبية والدوائية

كيمياء الاغذية والنواتج الطبيعية

الكيمياء الجنائية


الكيمياء الصناعية

البترو كيمياويات

الكيمياء الخضراء

كيمياء البيئة

كيمياء البوليمرات

مواضيع عامة في الكيمياء الصناعية

الكيمياء الاشعاعية والنووية
( التجربة رقم 2 )
المؤلف:
م.مسعود فرج ابو ستة
المصدر:
تجارب في الكيمياء التحليلية (التحليل الكمي الحجمي والوزني )
الجزء والصفحة:
ص 72
25-12-2015
1188
( التجربة رقم 2 ) معایرة محلول حمض H2SO4 مجهول التركیز باستخدام محلول قیاسي من هیدروكسید البوتاسیوم
معایرة محلول حمض H2SO4 مجهول التركیز باستخدام محلول قیاسي من هیدروكسید البوتاسیوم تركیزه 7500) میكرومكافي/ 50 مل) .
الهدف من التجربة:
حساب عیاریة حمض الكبریتیك من ثم حساب التركیز بالمیكروجرام/ 5مل وبالملجرام/ 50 مل بأستخدام المیثیل البرتقالي
معادلة التفاعل H2SO4+2KOH ⟶ K2SO4+2H2O
المواد والأدوات المطلوبة:
- محلول حمض الكبریتیك مجهول التركیز
- محلول قیاسي محلول قیاسي من هیدروكسید البوتاسیوم تركیزه 7500) میكرومكافي/ 50 مل) .
- دلیل المیثیل البرتقالي أو الفینول نفثالین.
خطوات التجربة :
- اغسل أدوات المعایرة الزجاجیة بالماء العادي ثم الماء المقطر ،و یتم غسل السحاحة بكمیة قلیلة من محلول حمض الكبریتیك المستعمل في المعایرة ، ثم إملاء السحاحة بالمحلول حتى علامة الصفر مع ملاحظ عدم وجود فقاعات هوائیة في السحاحة والتأكد من امتلاء الجزء السفلي) تحت الصنبور(
- خذ بالماصة 20 مل من محلول هیدروكسید البوتاسیوم القیاسي في دورق مخروطي ثم أضف إلیه قطرتین من دلیل المیثیل البرتقالي.
- إبدا عملیة المعایرة بتنقیط محلول الحمض قطرة قطرة،حتى یتغیر لون المحلول إلى اللون الأحمر(إي حتى الوصول إلى نقطة التكافؤ) وسجل الحجم المستهلك من السحاحة ولیكن حجم VA( حمض الكبریتیك )
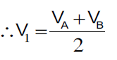
- كرر الخطوات السابقة بعد تنظیف الأدوات جیداً وعایر من جدید وسجل حجم حمض H2SO4 المستهلك من السحاحة ولیكن VB.
یتم أخد متوسط الحجم
