

تاريخ الرياضيات

الاعداد و نظريتها

تاريخ التحليل

تار يخ الجبر

الهندسة و التبلوجي


الرياضيات في الحضارات المختلفة

العربية

اليونانية

البابلية

الصينية

المايا

المصرية

الهندية


الرياضيات المتقطعة

المنطق

اسس الرياضيات

فلسفة الرياضيات

مواضيع عامة في المنطق


الجبر

الجبر الخطي

الجبر المجرد

الجبر البولياني

مواضيع عامة في الجبر

الضبابية

نظرية المجموعات

نظرية الزمر

نظرية الحلقات والحقول

نظرية الاعداد

نظرية الفئات

حساب المتجهات

المتتاليات-المتسلسلات

المصفوفات و نظريتها

المثلثات


الهندسة

الهندسة المستوية

الهندسة غير المستوية

مواضيع عامة في الهندسة

التفاضل و التكامل


المعادلات التفاضلية و التكاملية

معادلات تفاضلية

معادلات تكاملية

مواضيع عامة في المعادلات


التحليل

التحليل العددي

التحليل العقدي

التحليل الدالي

مواضيع عامة في التحليل

التحليل الحقيقي

التبلوجيا

نظرية الالعاب

الاحتمالات و الاحصاء

نظرية التحكم

بحوث العمليات

نظرية الكم

الشفرات

الرياضيات التطبيقية

نظريات ومبرهنات


علماء الرياضيات

500AD

500-1499

1000to1499

1500to1599

1600to1649

1650to1699

1700to1749

1750to1779

1780to1799

1800to1819

1820to1829

1830to1839

1840to1849

1850to1859

1860to1864

1865to1869

1870to1874

1875to1879

1880to1884

1885to1889

1890to1894

1895to1899

1900to1904

1905to1909

1910to1914

1915to1919

1920to1924

1925to1929

1930to1939

1940to the present

علماء الرياضيات

الرياضيات في العلوم الاخرى

بحوث و اطاريح جامعية

هل تعلم

طرائق التدريس

الرياضيات العامة

نظرية البيان
المحددات-خواص دالة المحدد
المؤلف:
علي جاسم التميمي
المصدر:
مقدمة في الجبر الخطي
الجزء والصفحة:
106-110
8-3-2016
11045
خواص دالة المحدد:
يتضمن هذا البند بعض الخواص المهمة لدالة المحدد .
الخاصية الأولى:
لتكن A مصفوفة سعتها n × n و k عدد ثابت فإن:

البرهان: بما أن كل عامل مشترك في أي صف من صفوف A يمكن إخراجه خارج المحدد (مبرهنة 2-3-3(1)) ولما كان عدد صفوف A هو n وإن كل صف فيه عامل مشترك k فإن:
|KA|=Kn|A|
مثال (1):

البرهان:
سنوضح العلاقة أعلاه بمثال:
مثال (2):

الخاصية الثالثة:
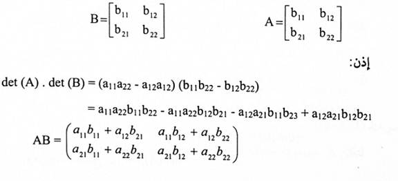
لتكن A و B مصفوفتان مربعتان لوهما نفس السعة فإن:

البرهان:
ليس من السهولة برهان هذه الخاصية، إذ يجب معرفة بعض النتائج الإضافية. لذا سنكتفي بمثال توضيحي.
نفرض A و B مصفوفتان سعة كل منهما 2 × 2حيث:

لذا:

مثال(3):

مبرهنة (1-1):
المصفوفة المربعة A قابلة للانعكاس إذا وفقط إذا det(A)≠0
البرهان:
نفرض أن A قابلة للانعكاس أي أن AA-1 = 1 إذن

ومن هنا نستنتج أن : det (A) ≠ 0
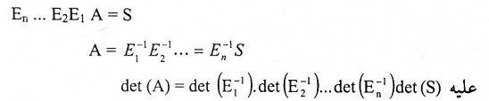
وبالعكس نفرض det (A) = 0 ولتكن S هي الشكل المدرج الصفي للمصفوفة A.
بما ان S يمكن الحصول عليها بواسطة سلسلة منتهية من العمليات الصفية البسيطة أي يمكننا إيجاد مصفوفات بسيطة En, … , E2, E1 بحيث:

وبما أن det (A) = 0 فإنdet (S) ≠ 0 هذا يعني أن الشكل المدرج الصفي المختزل S لا يحتوي على أس صف جميع عناصره أصفار. لذا فإن S = I إذن معكوس المصفوفة A موجود ويساوي
A-1=En…..E2E1
الخاصية الرابعة:
إذا كانت A مصفوفة قابلة للانعكاس سعتها n × n فإن

البرهان:
بما أن AA-1 = I فإن det (A-1A) det (I)
ينتج من ذلك : det (A-1). det (A) = 1
ولما كان det (A) ≠ 0

مبرهنة (1-2):
لتكن A مصفوفة سعتها n × n فإن الصيغ الآتية متكافئة.
1. A قابل للانعكاس.
2. AX = 0 له حل واحد فقط هو الحل الصفري.
3. الشكل المدرج الصفي المختزل للمصفوفة A هو In.
4. A تكتب كحاصل ضرب عدد محدد من المصفوفات الاولية.
5. AX = B نظاماً متسقاً لكل B ذات السعة n x 1 .
6. AX = B له بالضبط حل واحد لكل B ذات السعة n x 1.
7. det (A)≠ 0
الاكثر قراءة في الجبر الخطي
اخر الاخبار
اخبار العتبة العباسية المقدسة
الآخبار الصحية

قسم الشؤون الفكرية يصدر كتاباً يوثق تاريخ السدانة في العتبة العباسية المقدسة
"المهمة".. إصدار قصصي يوثّق القصص الفائزة في مسابقة فتوى الدفاع المقدسة للقصة القصيرة
(نوافذ).. إصدار أدبي يوثق القصص الفائزة في مسابقة الإمام العسكري (عليه السلام)