

تاريخ الرياضيات

الاعداد و نظريتها

تاريخ التحليل

تار يخ الجبر

الهندسة و التبلوجي


الرياضيات في الحضارات المختلفة

العربية

اليونانية

البابلية

الصينية

المايا

المصرية

الهندية


الرياضيات المتقطعة

المنطق

اسس الرياضيات

فلسفة الرياضيات

مواضيع عامة في المنطق


الجبر

الجبر الخطي

الجبر المجرد

الجبر البولياني

مواضيع عامة في الجبر

الضبابية

نظرية المجموعات

نظرية الزمر

نظرية الحلقات والحقول

نظرية الاعداد

نظرية الفئات

حساب المتجهات

المتتاليات-المتسلسلات

المصفوفات و نظريتها

المثلثات


الهندسة

الهندسة المستوية

الهندسة غير المستوية

مواضيع عامة في الهندسة

التفاضل و التكامل


المعادلات التفاضلية و التكاملية

معادلات تفاضلية

معادلات تكاملية

مواضيع عامة في المعادلات


التحليل

التحليل العددي

التحليل العقدي

التحليل الدالي

مواضيع عامة في التحليل

التحليل الحقيقي

التبلوجيا

نظرية الالعاب

الاحتمالات و الاحصاء

نظرية التحكم

بحوث العمليات

نظرية الكم

الشفرات

الرياضيات التطبيقية

نظريات ومبرهنات


علماء الرياضيات

500AD

500-1499

1000to1499

1500to1599

1600to1649

1650to1699

1700to1749

1750to1779

1780to1799

1800to1819

1820to1829

1830to1839

1840to1849

1850to1859

1860to1864

1865to1869

1870to1874

1875to1879

1880to1884

1885to1889

1890to1894

1895to1899

1900to1904

1905to1909

1910to1914

1915to1919

1920to1924

1925to1929

1930to1939

1940to the present

علماء الرياضيات

الرياضيات في العلوم الاخرى

بحوث و اطاريح جامعية

هل تعلم

طرائق التدريس

الرياضيات العامة

نظرية البيان
Covering Maps and Discontinuous Group Actions-Covering Maps and Induced Homomorphisms of the Fundamental Group
المؤلف:
David R. Wilkins
المصدر:
Algebraic Topology
الجزء والصفحة:
...
21-6-2017
2127
Proposition 1.1 Let p: X˜ → X be a covering map over a topological space X, let α: [0, 1] → X and β: [0, 1] → X be paths in X, where α(0) = β(0) and α(1) = β(1), and let α˜: [0, 1] → X˜ and β˜: [0, 1] → X˜ be paths in X˜ such that p ◦ α˜ = α and p ◦ β˜ = β. Suppose that α˜(0) = β˜(0) and that α ≃ β rel {0, 1}.
Then α˜(1) = β˜(1) and α˜ ≃ β˜ rel {0, 1}.
Proof Let x0 and x1 be the points of X given by
x0 = α(0) = β(0), x1 = α(1) = β(1).
Now α ≅β rel {0, 1}, and therefore there exists a homotopy F: [0, 1]×[0, 1] → X such that F(t, 0) = α(t) and F(t, 1) = β(t) for all t ∈ [0, 1], F(0, τ ) = x0 and F(1, τ ) = x1 for all τ ∈ [0, 1].
It then follows from the Monodromy Theorem (The Monodromy Theorem)that there exists a continuous map G: [0, 1] × [0, 1] → X˜ such that p ◦ G = F and G(0, 0) = α˜(0). Then p(G(0, τ )) = x0 and p(G(1, τ )) = x1 for all τ ∈ [0, 1].
A straightforward application of (Let p: X~ → X be a covering map, let Z be a connected topological space, and let g:Z → X~ and h:Z → X~ be continuous maps.
Suppose that p ◦g = p ◦ h and that g(z) = h(z) for some z ∈ Z. Then g = h.) shows that any continuous lift of a constant path must itself be a constant path. Therefore G(0, τ ) = x˜0
and G(1, τ ) = x˜1 for all τ ∈ [0, 1], where x˜0 = G(0, 0) = α˜ (0), x˜1 = G(1, 0).
However
G(0, 0) = G(0, 1) = ˜x0 = ˜α(0) = β˜(0),
p(G(t, 0)) = F(t, 0) = α(t) = p(˜α(t))
and
p(G(t, 1)) = F(t, 1) = β(t) = p(β˜(t))
for all t ∈ [0, 1]. Now Proposition (Let p: X~ → X be a covering map, let Z be a connected topological space, and let g:Z → X~ and h:Z → X~ be continuous maps. Suppose that p ◦g = p ◦ h and that g(z) = h(z) for some z ∈ Z. Then g = h.)ensures that the lifts α˜and β˜ of the paths α and β are uniquely determined by their starting points. It follows that G(t, 0) = α˜ (t) and G(t, 1) = β˜(t) for all t ∈ [0, 1]. In particular,
α˜(1) = G(0, 1) = x˜1 = G(1, 1) = β˜(1).
Moreover the map G: [0, 1] × [0, 1] → X˜ is a homotopy between the paths α˜ and β˜ which satisfies G(0, τ ) = x˜0 and G(1, τ ) = x˜1 for all τ ∈ [0, 1]. It follows that α˜ ≃β˜ rel {0, 1}, as required
Corollary 1.2 Let p: X˜ → X be a covering map over a topological space X, and let x˜0 be a point of X˜. Then the homomorphism
p#: π1(X˜, x˜0) → π1(X, p(x˜0))
of fundamental groups induced by the covering map p is injective
Proof Let σ0 and σ1 be loops in X~ based at the point x~0, representing elements [σ0] and [σ1] of π1(X˜, x˜0). Suppose that p#[σ0] = p#[σ1]. Then p◦σ0 ≃ p ◦ σ1 rel {0, 1}. Also σ0(0) = x˜0 = σ1(0). Therefore σ0 ≃σ1 rel {0, 1}, by Proposition 1.1, and thus [σ0] = [σ1]. We conclude that the homomorphism p#: π1(X˜, x˜0) → π1(X, p(x˜0)) is injective
Corollary 1.3 Let p: X˜ → X be a covering map over a topological space X, let x˜0 be a point of X˜, and let γ be a loop in X based at p(x˜0). Then [γ] ∈ p#(π1(X˜, x˜0)) if and only if there exists a loop γ˜ in X˜, based at the point x˜0, such that p ◦ γ˜ = γ.
Proof If γ = p ◦ γ˜ for some loop γ˜ in X˜ based at x˜0 then [γ] = p#[γ˜], and therefore [γ] ∈ p#(π1(X˜, x˜0)).
Conversely suppose that [γ] ∈ p#(π1(X˜, x˜0)). We must show that there exists some loop γ˜ in X˜ based at x˜0 such that γ = p ◦ γ˜. Now there exists a loop σ in X˜ based at the point x ˜0 such that [γ] = p#([σ]) in π1(X, p(x˜0)).
Then γ ≃ p ◦ σ rel {0, 1}. It follows from the Path Lifting Theorem for covering maps that there exists a unique path γ˜: [0, 1] → X˜ in X˜ for which γ˜ (0) = x˜0 and p ◦ γ˜ = γ. It then follows from Proposition 1.1 that γ˜ (1) = σ(1) and γ˜ ≃ σ rel {0, 1}. But σ(1) = x˜0. Therefore the path γ˜ is the required loop in X˜ based the point x˜0 which satisfies p ◦ γ˜ = γ.
Corollary 1.4 Let p: X˜ → X be a covering map over a topological space X, let w0 and w1 be points of X˜ satisfying p(w0) = p(w1), and let α: [0, 1] → X˜ be a path in X˜ from w0 to w1. Suppose that [p ◦ α] ∈ p#(π1(X, w˜0)). Then the path α is a loop in X˜, and thus w0 = w1.
Proof It follows from Corollary 1.3 that there exists a loop β based at w0 satisfying p ◦ β = p ◦ α. Then α(0) = β(0). Now Proposition (Let p: X˜ → X be a covering map, let Z be a connected topological space, and let g:Z → X˜ and h:Z → X˜ be continuous maps. Suppose that p ◦ g = p ◦ h and that g(z) = h(z) for some z ∈ Z. Then g = h.) ensures that the lift to X˜ of any path in X is uniquely determined by its starting point. It follows that α = β. But then the path α must be a loop in X˜, and therefore w0 = w1, as required.
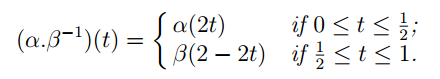
Corollary 1.5 Let p: X˜ → X be a covering map over a topological space X. Let α: [0, 1] → X and β: [0, 1] → X be paths in X such that α(0) = β(0) and α(1) = β(1), and let α.β−1 be the loop in X defined such that

Let α˜: [0, 1] → X˜ and β˜: [0, 1] → X˜ be the unique paths in X˜ such that p ◦ α˜ = α, and p ◦ β˜ = β. Suppose that α˜(0) = β˜(0). Then α˜(1) = β˜(1) if and only if [α.β−1] ∈ p#(π1(X˜, x˜0)), where x˜0 = α˜(0) = β˜(0).
Proof Suppose that α˜(1) = β˜(1). Then the concatenation α˜.β˜−1 is a loop in X˜ based at x˜0, and [α.β−1] = p#([α˜.β˜−1]), and therefore [α.β−1] ∈ p#(π1(X ˜, x˜0)). Conversely suppose that α˜ and β˜ are paths in X˜ satisfying p ◦ α˜ = α, p ◦ β˜ = β and α˜(0) = β˜(0) = x˜0, and that [α.β−1] ∈ p#(π1(X˜, x˜0)). We must show that α˜(1) = β˜(1). Let γ: [0, 1] → X be the loop based at p(x˜0) given by γ = α.β−1. Thus
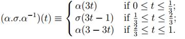
Then [γ] ∈ p#(π1(X˜, x˜0)). It follows from Corollary 1.3 that there exists a loop γ˜ in X˜ based at x˜0 such that p ◦ γ˜ = γ. Let αˆ: [0, 1] → X˜ and Let βˆ: [0, 1] → X˜ be the paths in X˜ defined such that αˆ (t) = γ˜ (1/2t) and βˆ(t) = γ˜ (1 −1/2t) for all t ∈ [0, 1]. Then
α˜(0) = αˆ (0) = β˜(0) = βˆ(0) = x˜0, p ◦ αˆ = α = p ◦ α˜ and p ◦ βˆ = β = p ◦ β˜.
But Proposition (Let p: X˜ → X be a covering map, let Z be a connected topological space, and let g:Z → X˜ and h:Z → X˜ be continuous maps. Suppose that p ◦ g = p ◦ h and that g(z) = h(z) for some z ∈ Z. Then g = h.) ensures that the lift to X˜ of any path in X is uniquely determined by its starting point.
Therefore α˜ = α ˆand β˜ = βˆ. It follows that
α˜(1) = α(1ˆ) = γ˜ (1/2) = βˆ(1) = β˜(1),
as required.
Theorem 1.6 Let p: X˜ → X be a covering map over a topological space X.
Suppose that X˜ is path-connected and that X is simply-connected. Then the covering map p: X˜ → X is a homeomorphism.
Proof We show that the map p: X˜ → X is a bijection. This map is surjective (since covering maps are by definition surjective). We must show that it is injective. Let w0 and w1 be points of X˜ with the property that p(w0) = p(w1). Then there exists a path α: [0, 1] → X˜ with α(0) = w0 and α(1) = w1, since X˜ is path-connected. Then p ◦ α is a loop in X based at the point x0, where x0 = p(w0). However π1 (X,p(w0)) is the trivial group, since X is simply- connected. It follows from Corollary 1.4 that the path α is a loop in X˜ based at w0, and therefore w0 = w1. This shows that the the covering map p: X˜ → X is injective. Thus the map p: X˜ → X is a bijection, and thus has a well-defined inverse p−1: X → X˜. It now follows from Lemma (Let p: X~ → X be a covering map. Then p(V ) is open in X for every open set V in X~. In particular, a covering map p: X~ → X is a homeomorphism if and only if it is a bijection.) that p: X˜ → X is a homeomorphism, as required.
Let p: X˜ → X be a covering map over some topological space X, and let x0 be some chosen basepoint of X. We shall investigate the dependence of the subgroup p#(π1(X˜, x˜)) of π1(X, x0) on the choice of the point x˜ in X˜, where x˜ is chosen such that p(x˜) = x0. We first introduce some concepts from group theory.
Let G be a group, and let H be a subgroup of G. Given any g ∈ G, let gHg−1 denote the subset of G defined by
gHg−1 = {g0 ∈ G : g0 = ghg−1 for some h ∈ H}.
It is easy to verify that gHg−1 is a subgroup of G.
Definition Let G be a group, and let H and H0 be subgroups of G. We say that H and H0 are conjugate if and only if there exists some g ∈ G for which H0 = gHg−1 Note that if H0 = gHg−1 then H = g−1H0g. The relation of conjugacy is an equivalence relation on the set of all subgroups of the group G. Moreover conjugate subgroups of G are isomorphic, since the homomorphism sending h ∈ H to ghg−1 is an isomorphism from H to gHg−1 whose inverse is the homorphism sending h 0 ∈ gHg−1 to g−1h0g.
A subgroup H of a group G is said to be a normal subgroup of G if ghg−1 ∈ H for all h ∈ H and g ∈ G. If H is a normal subgroup of G then gHg−1 ⊂ H for all g ∈ G. But then g−1Hg ⊂ H and H = g(g−1Hg)g−1 for all g ∈ G, and therefore H ⊂ gHg−1 for all g ∈ G. It follows from this that a subgroup H of G is a normal subgroup if and only if gHg−1 = H for all g ∈ G. Thus a subgroup H of G is a normal subgroup if and only if there is no other subgroup of G conjugate to H.
Lemma 1.7 Let p: X˜ → X be a covering map over a topological space X.
Let x0 be a point of X, and let w0 and w1 be points of X˜ for which p(w0) = x0 = p(w1). Let H0 and H1 be the subgroups of π1(X, x0) defined by
H0 = p#(π1(X, w˜0)), H1 = p#(π1(X, w˜1)).
Suppose that the covering space X˜ is path-connected. Then the subgroups H0 and H1 of π1(X, x0) are conjugate. Moreover if H is any subgroup of π1(X, x0) which is conjugate to H0 then there exists an element w of X˜ for which p(w) = x and p#(π1(X, w˜ )) = H.
Proof Let α: [0, 1] → X˜ be a path in X˜ for which α(0) = w0 and α(1) = w1. (Such a path exists since X˜ is path-connected.) Then each loop σ in X˜ based at w1 determines a corresponding loop α.σ.α−1 in X˜ based at w0, where

(This loop traverses the path α from w0 to w1, then continues round the loop σ, and traverses the path α in the reverse direction in order to return from w1 to w0.) Let η: [0, 1] → X be the loop in X based at the point x0 given by η = p ◦ α, and let ϕ: π1(X, x0) → π1(X, x0) be the automorphism of the group π1(X, x0) defined such that ϕ([γ]) = [η][γ][η] −1 for all loops γ in X based at the point x0. Then p ◦ (α.σ.α−1) = η.(p ◦ σ).η−1, and therefore p#([α.σ.α−1]) = [η]p#([σ])[η]−1 = ϕ(p#([σ])) in π1(X, x0). It follows that ϕ(H1) ⊂ H0. Similarly ϕ−1 (H0) ⊂ H1, where ϕ−1 ([γ]) = [η]−1 [γ][η] for all loops γ in X based at the point x0. It follows that ϕ(H1) = H0, and thus the subgroups H0 and H1 are conjugate Now let H be a subgroup of π1(X, x0) which is conjugate to H0. Then H0 = [η]H[η]−1 for some loop η in X based at the point x0. It follows from the Path Lifting Theorem for covering maps (Theorem (Path Lifting Theorem) that there exists a path α: [0, 1] → X˜ in X˜ for which α(0) = w0 and p ◦ α = η. Let w = α(1).
Then p#(π1(X, w˜ )) = [η]−1H0[η] = H, as required.
الاكثر قراءة في التبلوجيا
اخر الاخبار
اخبار العتبة العباسية المقدسة
الآخبار الصحية

قسم الشؤون الفكرية يصدر كتاباً يوثق تاريخ السدانة في العتبة العباسية المقدسة
"المهمة".. إصدار قصصي يوثّق القصص الفائزة في مسابقة فتوى الدفاع المقدسة للقصة القصيرة
(نوافذ).. إصدار أدبي يوثق القصص الفائزة في مسابقة الإمام العسكري (عليه السلام)