
تاريخ الفيزياء

علماء الفيزياء


الفيزياء الكلاسيكية

الميكانيك

الديناميكا الحرارية


الكهربائية والمغناطيسية

الكهربائية

المغناطيسية

الكهرومغناطيسية


علم البصريات

تاريخ علم البصريات

الضوء

مواضيع عامة في علم البصريات

الصوت


الفيزياء الحديثة


النظرية النسبية

النظرية النسبية الخاصة

النظرية النسبية العامة

مواضيع عامة في النظرية النسبية

ميكانيكا الكم

الفيزياء الذرية

الفيزياء الجزيئية


الفيزياء النووية

مواضيع عامة في الفيزياء النووية

النشاط الاشعاعي


فيزياء الحالة الصلبة

الموصلات

أشباه الموصلات

العوازل

مواضيع عامة في الفيزياء الصلبة

فيزياء الجوامد


الليزر

أنواع الليزر

بعض تطبيقات الليزر

مواضيع عامة في الليزر


علم الفلك

تاريخ وعلماء علم الفلك

الثقوب السوداء


المجموعة الشمسية

الشمس

كوكب عطارد

كوكب الزهرة

كوكب الأرض

كوكب المريخ

كوكب المشتري

كوكب زحل

كوكب أورانوس

كوكب نبتون

كوكب بلوتو

القمر

كواكب ومواضيع اخرى

مواضيع عامة في علم الفلك

النجوم

البلازما

الألكترونيات

خواص المادة


الطاقة البديلة

الطاقة الشمسية

مواضيع عامة في الطاقة البديلة

المد والجزر

فيزياء الجسيمات


الفيزياء والعلوم الأخرى

الفيزياء الكيميائية

الفيزياء الرياضية

الفيزياء الحيوية

الفيزياء والفلسفة

الفيزياء العامة


مواضيع عامة في الفيزياء

تجارب فيزيائية

مصطلحات وتعاريف فيزيائية

وحدات القياس الفيزيائية

طرائف الفيزياء

مواضيع اخرى
TM Modes in Rectangular Wave Guide
المؤلف:
Sidney B. Cahn Boris E. Nadgorny
المصدر:
A GUIDE TO PHYSICS PROBLEMS
الجزء والصفحة:
part 1 , p 75
11-8-2016
1914
TM Modes in Rectangular Wave Guide
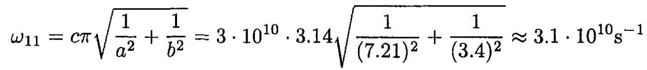
A rectangular wave guide of sides a = 7.21 cm and b = 3.40 cm is used in the transverse magnetic (TM) mode (see Figure 1.1). TM modes are modes in which the magnetic field is perpendicular to the direction of propagation, here z. Assume that the walls are perfect conductors.

Figure 1.1
a) By calculating the lowest cutoff frequency, determine whether TM radiation of angular frequency ω = 6.1 × 1010 s-1 will propagate in the wave guide.
b) What is the dispersion relation (i.e., the relationship between ω and the wave vector k) for this guide.
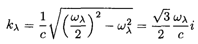
c) Find the attenuation length, i.e., the distance over which the power drops to e-1 of its starting value, for a frequency ω that is half the cutoff frequency.
SOLUTION
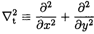
a) We can express all the fields in terms of a single longitudinal component. In this problem, we are considering TM waves so Bz = 0, and we use Ez instead. We find for the field components
(1)
where again

The wave equation for the Ez component is
(2)
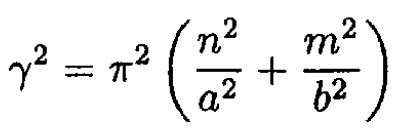
where

The solution to (2) with the boundary condition E × n|s = 0 is given by
(3)
where n and m are integers. So
(4)
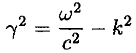
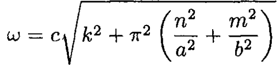
The frequency ω is given by
(5)
The cutoff frequency corresponds to k = 0, so
(6)
For TM waves, we cannot take any of the n or m = 0 modes because that would make Ez = 0 So the lowest cutoff frequency corresponds to m = n = 1

So the TM radiation with frequency 6.1 × 1010 s-1 will propagate in the guide.
b) The dispersion relation was given in (a):

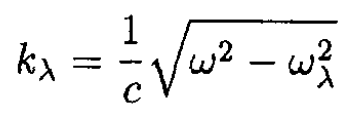
c) The wave number as a function of the cutoff frequency ωλ can be written in the form

The wave of frequency ω < ωλ cannot propagate (k becomes imaginary), and in fact the attenuation of the field will be given by kλ. In our case,

We may write Ez in the form

The power dissipation will be proportional to |Ez|2:

We wish to find the point where P(z)/P(0) = 1/e. Hence,

الاكثر قراءة في مواضيع اخرى
اخر الاخبار
اخبار العتبة العباسية المقدسة
الآخبار الصحية

قسم الشؤون الفكرية يصدر كتاباً يوثق تاريخ السدانة في العتبة العباسية المقدسة
"المهمة".. إصدار قصصي يوثّق القصص الفائزة في مسابقة فتوى الدفاع المقدسة للقصة القصيرة
(نوافذ).. إصدار أدبي يوثق القصص الفائزة في مسابقة الإمام العسكري (عليه السلام)