
تاريخ الفيزياء

علماء الفيزياء


الفيزياء الكلاسيكية

الميكانيك

الديناميكا الحرارية


الكهربائية والمغناطيسية

الكهربائية

المغناطيسية

الكهرومغناطيسية


علم البصريات

تاريخ علم البصريات

الضوء

مواضيع عامة في علم البصريات

الصوت


الفيزياء الحديثة


النظرية النسبية

النظرية النسبية الخاصة

النظرية النسبية العامة

مواضيع عامة في النظرية النسبية

ميكانيكا الكم

الفيزياء الذرية

الفيزياء الجزيئية


الفيزياء النووية

مواضيع عامة في الفيزياء النووية

النشاط الاشعاعي


فيزياء الحالة الصلبة

الموصلات

أشباه الموصلات

العوازل

مواضيع عامة في الفيزياء الصلبة

فيزياء الجوامد


الليزر

أنواع الليزر

بعض تطبيقات الليزر

مواضيع عامة في الليزر


علم الفلك

تاريخ وعلماء علم الفلك

الثقوب السوداء


المجموعة الشمسية

الشمس

كوكب عطارد

كوكب الزهرة

كوكب الأرض

كوكب المريخ

كوكب المشتري

كوكب زحل

كوكب أورانوس

كوكب نبتون

كوكب بلوتو

القمر

كواكب ومواضيع اخرى

مواضيع عامة في علم الفلك

النجوم

البلازما

الألكترونيات

خواص المادة


الطاقة البديلة

الطاقة الشمسية

مواضيع عامة في الطاقة البديلة

المد والجزر

فيزياء الجسيمات


الفيزياء والعلوم الأخرى

الفيزياء الكيميائية

الفيزياء الرياضية

الفيزياء الحيوية

الفيزياء والفلسفة

الفيزياء العامة


مواضيع عامة في الفيزياء

تجارب فيزيائية

مصطلحات وتعاريف فيزيائية

وحدات القياس الفيزيائية

طرائف الفيزياء

مواضيع اخرى
Van Vleck susceptibility
المؤلف:
J. M. D. COEY
المصدر:
Magnetism and Magnetic Materials
الجزء والصفحة:
112
13-2-2021
1589
Van Vleck susceptibility
When an ion has low-lying excited states, they can contribute to the susceptibility in twoways. They may be Zeeman split and thermally populated as usual. Otherwise, the applied field may mix some of the excited-state character into the ground state. This produces a term known as van Vleck paramagnetism or temperature-independent paramagnetism (TIP). It is especially important for Eu3+, which has a nonmagnetic J = 0 ground state, but a low-lying J = 1 excited state at 330 K which contributes a paramagnetic susceptibility.
The other rare-earth ion for which it may be necessary to consider the excited J -multiplets is Sm3+, which has a J = 5/2 ground state and a low-lying J = 7/2 excited state at 1225 K. Among the actinides, Bk5+ and Cm4+ have a localized 5f 6 configuration, with a J = 0 ground state.
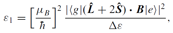
According to perturbation theory, the correction to the energy of the ion is given by the Hamiltonian
........(1)
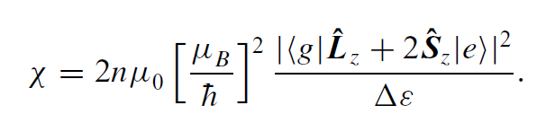
where g and e represent the ground and excited states, respectively, and ε is their energy separation. From the expression for the Gibbs free energy of a paramagnet in an applied field, −1/2 BM with M = χB/μ0, it follows that χ = 2nμ0ε1/B2, where n is the number of ions per unit volume. Hence the susceptibility depends on the off-diagonal matrix elements of the magnetic moment:
.......(2)
الاكثر قراءة في المغناطيسية
اخر الاخبار
اخبار العتبة العباسية المقدسة
الآخبار الصحية

قسم الشؤون الفكرية يصدر كتاباً يوثق تاريخ السدانة في العتبة العباسية المقدسة
"المهمة".. إصدار قصصي يوثّق القصص الفائزة في مسابقة فتوى الدفاع المقدسة للقصة القصيرة
(نوافذ).. إصدار أدبي يوثق القصص الفائزة في مسابقة الإمام العسكري (عليه السلام)