

علم الكيمياء

تاريخ الكيمياء والعلماء المشاهير

التحاضير والتجارب الكيميائية

المخاطر والوقاية في الكيمياء

اخرى

مقالات متنوعة في علم الكيمياء

كيمياء عامة


الكيمياء التحليلية

مواضيع عامة في الكيمياء التحليلية

التحليل النوعي والكمي

التحليل الآلي (الطيفي)

طرق الفصل والتنقية


الكيمياء الحياتية

مواضيع عامة في الكيمياء الحياتية

الكاربوهيدرات

الاحماض الامينية والبروتينات

الانزيمات

الدهون

الاحماض النووية

الفيتامينات والمرافقات الانزيمية

الهرمونات


الكيمياء العضوية

مواضيع عامة في الكيمياء العضوية

الهايدروكاربونات

المركبات الوسطية وميكانيكيات التفاعلات العضوية

التشخيص العضوي

تجارب وتفاعلات في الكيمياء العضوية


الكيمياء الفيزيائية

مواضيع عامة في الكيمياء الفيزيائية

الكيمياء الحرارية

حركية التفاعلات الكيميائية

الكيمياء الكهربائية


الكيمياء اللاعضوية

مواضيع عامة في الكيمياء اللاعضوية

الجدول الدوري وخواص العناصر

نظريات التآصر الكيميائي

كيمياء العناصر الانتقالية ومركباتها المعقدة


مواضيع اخرى في الكيمياء

كيمياء النانو

الكيمياء السريرية

الكيمياء الطبية والدوائية

كيمياء الاغذية والنواتج الطبيعية

الكيمياء الجنائية


الكيمياء الصناعية

البترو كيمياويات

الكيمياء الخضراء

كيمياء البيئة

كيمياء البوليمرات

مواضيع عامة في الكيمياء الصناعية

الكيمياء التناسقية

الكيمياء الاشعاعية والنووية
Conformational Drawings
المؤلف:
John D. Roberts and Marjorie C. Caserio
المصدر:
Basic Principles of Organic Chemistry : LibreTexts project
الجزء والصفحة:
........
28-12-2021
2486
Conformational Drawings
Two styles of abbreviating the eclipsed and staggered conformations of ethane are shown in Figure 5-9; in each, the junction of lines representing bonds is assumed to be a carbon atom. Using the "sawhorse" convention, we always consider that we are viewing the molecule slightly from above and from the right, and it is understood that the central C−C bond is perpendicular to the plane of the paper. With the "Newman" convention, we view the molecule directly down the C−C bond axis so the carbon in front hides the carbon behind. The circle is only a visual aid to help distinguish the bonds of the back carbon from those of the front carbon. The rear atoms in the eclipsed conformation are drawn slightly offset from a truly eclipsed view so the bonds to them can be seen.
Figure 5-9: Conventions for showing the staggered and eclipsed conformations of ethane
The staggered conformations of butane are shown in Figure 5-10 in both the sawhorse and Newman conventions. There is little to choose between the two conventions for simple ethane derivatives, but the sawhorse convention is strongly favored for representing the conformations of ring compounds such as cyclohexane. The resemblance between the gauche forms of butane and the most stable conformation of cyclohexane is strikingly apparent in the sawhorse representations of both, as shown in Figure 5-10. Notice that the ring carbons of cyclohexane do not lie in one plane and that all the bond angles are tetrahedral.
Figure 5-10: Sawhorse and Newman conventions for showing the staggered conformations of butane. Only one gauche form is shown. Cyclohexane is shown to emphasize the resemblance of its stable conformation to the gauche conformation of butane.
Despite the usefulness of the sawhorse-type drawing, cyclic molecules often are drawn with planar rings and distorted bond angles even though the rings actually may not be planar. The reason for this is partly that planar rings are easier to draw and partly to emphasize the configuration of attached groups, irrespective of the conformation. Typical examples follow:

Generally we shall avoid such drawings and suggest that it is much better to learn to draw molecules in as nearly correct perspective as possible. Once the sawhorse representation of cyclohexane is mastered, it is almost as easy to drawn 14 as 13, and 14 is much more informative about the shape of the molecule:

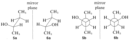
We have indicated how the enantiomers of 2-butanol differ by drawing their strutures 5 and 6 ) in perspective to show the tetrahedral configuration of substituents at the chiral carbon. This configuration also can be represented by the sawhorse or Newman formulas using any one of the several possible staggered conformations such as 5a and 6a or 5b and 6b:

These drawings are clear but can be cumbersome, particularly for more complex molecules, and we shortly shall describe other means of representing the configurations of chiral molecules.
الاكثر قراءة في مواضيع عامة في الكيمياء العضوية
اخر الاخبار
اخبار العتبة العباسية المقدسة
الآخبار الصحية

قسم الشؤون الفكرية يصدر كتاباً يوثق تاريخ السدانة في العتبة العباسية المقدسة
"المهمة".. إصدار قصصي يوثّق القصص الفائزة في مسابقة فتوى الدفاع المقدسة للقصة القصيرة
(نوافذ).. إصدار أدبي يوثق القصص الفائزة في مسابقة الإمام العسكري (عليه السلام)