معادلة المرآة
المؤلف:
فريدريك بوش ، دافيد جيرد
المصدر:
اساسيات الفيزياء
الجزء والصفحة:
11-1-2016
4248
معادلة المرآة
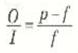
ان الشكل 1)) نشتق منه معادلة رياضية تصف موقع الصورة. تسمى المسافة P بين الجسم والمرآة بعد الجسم. ويسمى ارتفاع الجسم 0. أما ارتفاع الصورة فيسمى I، والمسافة بين الصورة والمرآة بعد الصورة ورمزه i. ويلاحظ أن المسافة BF بين المرآة والنقطة هي البعد البؤري f للمرآة. وليس الشعاع ABE في الجزء (أ) من الشكل واحداً من الأشعة الثلاثة الخاصة. على أنه ينعكس بحيث تكون الزاوية ABH مساوية للزاوية DBE. ولهذا السبب فإن المثلثين المظللين ABH و DBE في الجزء (أ) متشابهان. ولذلك فإن النسبة بين الأضلاع المتناظرة هي:

كما أن المثلثين المظلين في الشكل (1 ب) هما أيضاً متشابهان. والمسافتان AH و DE هما ارتفاعاً الجسم والصورة على الترتيب.
ويلاحظ أيضاً أن DE = GJ. ومن ثم،


الشكل 1)): (أ) المثلثان ABH و DBE متشابهان. (ب) والمثلثان AFH و JFG متشابهان. وقد اعتبرنا ــ في النصف ــ أن انحناء المرآة صغير جداً لدرجة يمكن معها إهمال المسافة GB.
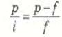
ولكن HF هي بالضبط P – f و FG هي تقريباً f . (الفرق بينهما مسافة ضئيلة GB). وفي ظل هذا التقريب فإن :

ويساوي هذا المقدار بما وجدناه في الجزء (أ) فإن:

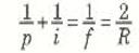
وبقسمة طرفي المعادلة على P وإعادة ترتيب الحدود فإن:
(1) 
حيث وضعنا f = R/2.
تسمى المعادلة 1)) معادلة المرآة، وهي تتيح لنا حساب المسافة i وهي بعد الصورة عن المرآة وذلك إذا عرف كل من بعد الجسم P عن المرآة والبعد البؤري f. ومن ناحية أخرى فهذه المعادلة تتيح أيضاً معرفة الموقع الذي يجب وضع جسم ما فيه حتى تتكون صورة في موقع محدد. ويلاحظ في هذه المعادلة أنها تتضمن جمع مقادير المقلوبات. وكما سنرى فإن f و p و i يمكن أن تتخذ قيماً سالبة أو موجبة في مواقف مختلفة، ولذا لابد من توخي العناية عند تطبيق القواعد الجبرية بشكل صحيح.
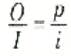
يلاحظ أنه لحساب الارتفاعات النسبية للجسم والصورة فإن العلاقة O/I = p/i تتحقق. ويطلق على النسبة بين ارتفاع الصورة وارتفاع الجسم مصطلح التكبير الذي تحدثه المرآة:
(2) 
وكما رأينا من قبل إن كانت I/O أقل من الواحد الصحيح، فإن الصورة تكون مصغرة. اما إن كانت I/O اكبر من الواحد الصحيح فإن الصورة تكون مكبرة.
الاكثر قراءة في مواضيع عامة في علم البصريات
اخر الاخبار
اخبار العتبة العباسية المقدسة