

تاريخ الرياضيات

الاعداد و نظريتها

تاريخ التحليل

تار يخ الجبر

الهندسة و التبلوجي


الرياضيات في الحضارات المختلفة

العربية

اليونانية

البابلية

الصينية

المايا

المصرية

الهندية


الرياضيات المتقطعة

المنطق

اسس الرياضيات

فلسفة الرياضيات

مواضيع عامة في المنطق


الجبر

الجبر الخطي

الجبر المجرد

الجبر البولياني

مواضيع عامة في الجبر

الضبابية

نظرية المجموعات

نظرية الزمر

نظرية الحلقات والحقول

نظرية الاعداد

نظرية الفئات

حساب المتجهات

المتتاليات-المتسلسلات

المصفوفات و نظريتها

المثلثات


الهندسة

الهندسة المستوية

الهندسة غير المستوية

مواضيع عامة في الهندسة

التفاضل و التكامل


المعادلات التفاضلية و التكاملية

معادلات تفاضلية

معادلات تكاملية

مواضيع عامة في المعادلات


التحليل

التحليل العددي

التحليل العقدي

التحليل الدالي

مواضيع عامة في التحليل

التحليل الحقيقي

التبلوجيا

نظرية الالعاب

الاحتمالات و الاحصاء

نظرية التحكم

بحوث العمليات

نظرية الكم

الشفرات

الرياضيات التطبيقية

نظريات ومبرهنات


علماء الرياضيات

500AD

500-1499

1000to1499

1500to1599

1600to1649

1650to1699

1700to1749

1750to1779

1780to1799

1800to1819

1820to1829

1830to1839

1840to1849

1850to1859

1860to1864

1865to1869

1870to1874

1875to1879

1880to1884

1885to1889

1890to1894

1895to1899

1900to1904

1905to1909

1910to1914

1915to1919

1920to1924

1925to1929

1930to1939

1940to the present

علماء الرياضيات

الرياضيات في العلوم الاخرى

بحوث و اطاريح جامعية

هل تعلم

طرائق التدريس

الرياضيات العامة

نظرية البيان
Coloring-Bounds on Chromatic Number
المؤلف:
Jean-Claude Fournier
المصدر:
Graph Theory and Applications
الجزء والصفحة:
76
27-7-2016
2406
In general, determining the chromatic number of a graph is hard. While small or well-known graphs (like the ones in the previous exercises) may be fairly easy, the number of possibilities in large graphs makes computing chromatic numbers difficult. We therefore often rely on bounds to give some sort of idea of what the chromatic number of a graph is, and in this section we consider some of these bounds.
If G is a graph on n vertices, then an obvious upper bound on χ(G) is n, since an n-coloring is always possible on a graph with n vertices. This bound is exact for complete graphs, as it takes as many colors as there are vertices to color a complete graph. In fact, complete graphs are the only graphs for which this bound is sharp .We set this aside as Theorem 1.1.
Theorem 1. 1.
For any graph G of order n, χ(G) ≤ n. Let us now discuss a very basic graph coloring algorithm, the greedy algorithm.
To color a graph having n vertices using this algorithm, first label the vertices insome order—call them v1, v2, ... , vn.
Next, order the available colors in some way.Wewilldenotethembythepositiveintegers1,2, ..., n. Then start coloring by assigning color 1 to vertex v1. Next, if v1 and v2 are adjacent, assign color2tovertex v2; otherwise, use color 1 again.
In general, to color vertex vi, use the first available color that has not been used for any of vi’s previously colored neighbors.
For example, the greedy algorithm produces the coloring on the right from the graph on the left in Figure 1. 1. First, v1 is assigned color 1; then v2 is assigned color 1, since v2 is not adjacent to v1.Then v3 is assigned color 1 since it is no adjacent to v1 or v2.Vertex v4 is assigned color 2, then v5 is assigned 2, and finally v is assigned 2.

FIGURE 1.1. Applying the greedy algorithm.
It is important to realize that the coloring obtained by the greedy algorithm depends heavily on the initial labeling of the vertices. Different labelings can (and often do) produce different colorings. Figure 1.2 displays the coloring obtained from a different original labeling of the same graph. More colors are used in this

FIGURE 1.2. Applying it again.
second coloring. We see that while “greed works” in that the algorithm always gives a legal coloring, we cannot expect it to give us a coloring that uses the fewest possible colors.
The following bound improves Theorem 1.1.
Theorem 1.2.
For any graph G, χ(G) ≤ Δ(G)+1,where Δ(G) is the maxi- mum degree of G.
Proof. Running the greedy algorithm on G produces a legal coloring that uses at most Δ(G)+1 colors. This is because every vertex in the graph is adjacent to at most Δ(G) other vertices, and hence the largest color label used is at most Δ(G)+1. Thus, χ(G) ≤ Δ(G)+1.
Notice that we obtain equality in this bound for complete graphs and for cycles with an odd number of vertices. As it turns out, these are the only families of graphs for which the equality in Theorem 1.2 holds. This is stated in Brooks’s Theorem[1]. The proof that we give is a modification of the one given by Lova´asz.
Theorem 1. 3 (Brooks’s Theorem).
If G is a connected graph that is neither an odd cycle nor a complete graph, then χ(G) ≤ Δ(G).
Proof. Let G be a connected graph of order n that is neither a complete graph nor an odd cycle. Let k =Δ(G). We know that k ≠0 and k ≠1, since otherwise G is complete. If k =2,then G must be either an even cycle or a path. In either case, χ(G)=2=Δ(G). So assume that k =Δ(G) ≥ 3.
We are now faced with three cases. In each case we will establish a labeling of the vertices of G in the form v1, v2, ... , vn. We will then use the greedy algorithm to color G with no more than k colors.
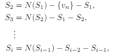
Case 1. Suppose that G is not k-regular. Then there exists some vertex with degree less than k. Choose such a vertex and call it vn. Let S0 = {vn} and let S1 = N(vn), the neighborhood of vn. Further, let

for each i (Figure 1.3). Since G is finite, there is some t such that St is not empty,

FIGURE 1.3. The sets Si.
and Sr is empty for all r>t.
Next, label the vertices in S1 with the labels vn−1, vn−2, ..., vn−|S1|. Label the vertices in S2 with the labels v n−|S1|−1, ..., v n−|S1|−|S2|. Continue labeling in this decreasing fashion until all vertices of G have been labeled. The vertex with label v1 is in the set St.
Let u be a vertex in some Si, i ≥ 1.Since u has at least one neighbor in Si−1, it has at most k − 1 adjacencies with vertices whose label is less than its own.
Thus, when the greedy algorithm gets to u, there will be at least one color from {1, 2,...,k} available. Further, since deg(vn) <k, there will be a color from {1, 2,...,k} available when the greedy algorithm reaches vn. Thus, in this case the greedy algorithm uses at most k colors to properly color G.
Case 2. Suppose that G is k-regular and that G has a cut vertex, say v. The removal of v from G will form at least two connected components. Say the components are G1, G2, ..., Gt. Consider the graph H1 = G1 ∪{v} (the component G1 with v added back—see Figure 1.4).H1 is a connected graph, and the degree

FIGURE 1.4. The graph H1.
of v in H is less than k. Using the method in Case 1, we can properly color H1 with at most k colors. Similarly, we can properly color each Hi = Gi −{v} with at most k colors. Without loss of generality, we can assume that v gets the same color in all of these colorings (if not, just permute the colors to make it so). These colorings together create a proper coloring of G that uses at most k colors. Case 2 is complete.
Case 3. Suppose that G is k-regular and that it does not contain a cut vertex. This means that G is 2-connected.
Subcase 3a. Suppose that G is 3-connected. This means that for all v, the graph G − v is 2-connected. Let v beavertex of G with neighbors v1 and v2 such that v1v2 ∉ E(G) (such vertices exist since G is not complete). By the assumption in this subcase, the graph G −{v1,v2} is connected.
Subcase 3b. Suppose that G is not 3-connected. This means that there exists a pair of vertices v,w such that the graph G −{v,w} is disconnected. Let the components of G −{v, w} be G1, G2, ..., Gt. Since k ≥ 3, it must be that each Gi has at least two vertices. It also must be that v is adjacent to at least one vertex in each Gi, since w is not a cut vertex of G. Let u ∈ V (G1) be a neighbor of v. Suppose for the moment that u is a cut vertex of the graph G − v. If this is the case, then there must be another vertex y of G1 such that (i) y is not a cut vertex of the graph G−v, and (ii) the only paths from y to w in G−v go through vertex u. Since u is not a cut vertex of G itself, it must be that y is adjacent to v. In either case, it must be that v has a neighbor in G1 (either u or y) that is not a cut vertex of G −v. The vertex v has a similar such neighbor in G2. For convenience, let us rename: For i =1, 2,let vi ∈ V (Gi) be a neighbor of v that is not a cut vertex of the graph G − v. Vertices v1 and v2 are nonadjacent, and since they were in different components of G −{v,w}, it must be that G −{v1,v2} is connected.
In each subcase, we have identified vertices v, v1,and v2 such that vv1,vv2 ∈ E(G), v1v2 ∉E(G),and G −{v1,v2} is connected. We now proceed to label the vertices of G in preparation for the greedy algorithm.
Let v1 and v2 be as labeled. Let v be labeled vn. Now choose a vertex adjacent to vn that is not v1 or v2 (such a vertex exists, since deg(vn) ≥ 3). Label this vertex vn−1. Next choose a vertex that is adjacent to either vn or vn−1 and is not v1, v2, vn,or vn−1. Call this vertex vn−2. We continue this process. Since G −{v1,v2} is connected, then for each i ∈{3,...,n − 1},there is a vertex vi ∈ V (G) −{v1,v2,vn,vn−1,...,vi+1} that is adjacent to at least one of vi+1,...,vn.
Now that the vertices are labeled, we can apply the greedy algorithm. Since v1v2 ∉ E(G), the algorithm will give the color 1 to both v1 and v2. Since each vi, 3 ≤ i<n, is adjacent to at most k − 1 predecessors, and since vn is adjacent to v1 and v2, the algorithm never requires more than k =Δ(G) colors. Case 3 is complete.
The next bound involves a new concept.
The clique number of a graph, denoted by ω(G), is defined as the order of the largest complete graph that is a subgraph of G. For example, in Figure 1.4, ω(G1)=3 and ω(G2)=4.

FIGURE 1.4. Graphs with clique numbers 3 and 4, respectively.
A simple bound that involves clique number follows. We leave it to the reader to provide a (one or two line) explanation.
Theorem 1.4. For any graph G, χ(G) ≥ ω(G).
It is natural to wonder whether we might be able to strengthen this theorem and prove that χ(G)= ω(G) for every graph G. Unfortunately, this is false. Consider the graph G shown in Figure 1.5. The clique number of this graph is 5, and the

FIGURE 1.5. Is χ(G)= ω(G)?
chromatic number is 6 (see Exercise 2).
The upper and lower bounds given in Theorem 1.5 concern α(G), the independence number of G,. The proofs are left as an exercise (see Exercise 3).
Theorem 1.5. For any graph G of order n,


_________________________________________________________________________________
1-Graph Theory and Applications ,Jean-Claude Fournier, WILEY, page(76)
2-Combinatorics and Graph Theory, Second Edition, John M. Harris • Jeffry L. Hirst • Michael J. Mossinghoff,2000,page(88-93)
الاكثر قراءة في نظرية البيان
اخر الاخبار
اخبار العتبة العباسية المقدسة
الآخبار الصحية

قسم الشؤون الفكرية يصدر كتاباً يوثق تاريخ السدانة في العتبة العباسية المقدسة
"المهمة".. إصدار قصصي يوثّق القصص الفائزة في مسابقة فتوى الدفاع المقدسة للقصة القصيرة
(نوافذ).. إصدار أدبي يوثق القصص الفائزة في مسابقة الإمام العسكري (عليه السلام)