التماثل الأسطواني
المؤلف:
فريدريك بوش ، دافيد جيرد
المصدر:
اساسيات الفيزياء
الجزء والصفحة:
5-1-2016
6496
التماثل الأسطواني
دعنا الآن نعتبر خطأ مستقيماً وزعت عليه شحنة ( سواء موجبة أو سالبة) بشكل منتظم كما هو في الشكل ((1. ويمكننا تمييز هذه الشحنة بكثافتها الخطية او بمقدار الشحنة لوحدة الأطوال ( المتر). والرمز المستعمل عادة للكثافة الخطية للشحنة هو λ وتقاس بوحدات كولوم لكل متر. وسوف نختار نقطة ما A على مسافة عمودية r من الخط. ولو أن الخط كان ممتداً بشكل "لا نهائي" في كلا الاتجاهين فإننا نستطيع عندئذ ان نلجأ إلى بعض الاعتبارات التماثلية المبسطة. فمن الناحية العملية فإن الطول اللانهائي يعني أن طول خط الشحنات أكبر بكثير جداً من المسافة r. وتكون المركبات المستعرضة للقوة والمؤثرة على شحنة اختبار موجبة موضوعة عند A من جانب قطاعات الشحنة الخطية المختلفة سيلاشى بعضها بعضاً كما هو موضح في الشكل (1 ب). وستكون القوة المؤثرة على q1 ومن ثم E في اتجاه قطري فقط منطلقة من أو إلى الخط اعتماداً على ما إذا كانت الشحنة الخطية موجبة أو سالبة. ومرة أخرى فإن التماثل يتيح لنا أن نعتبر أيضاً أن كل النقط الواقعة على نفس المسافة r تكون متكافئة ولذا فإن لها نفس قيمة المجال E. وسوف تقع هذه النقط على سطح أسطوانة يكون محورها هو الشحنة الخطية.
إذا أردنا تطبيق قانون جاوس على توزيع الشحنة هذا فإننا نختار السطح الجاوسي على هيئة أسطوانة قصيرة نسبياً، ذا طول L ونصف قطر r، كما هو مبين باللون الأخضر في الشكل (1 أ). وباستعمال اعتبارات التماثل نستطيع أن نستنتج أن:
1ـ المجال E ليس له مركبات عمودية عند سطحي نهايتي الأسطوانة ، ولهذا فإن (E┴ΔA) = 0 Σ لتلك الأجزاء من السطح.
2- (E┴ΔA) = E(2πrL) Σ على المساحة الجانبية للأسطوانة.
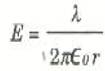
3- الشحنة الكلية المحاطة بالأسطوانة هي Q = λL وهكذا فإن قانون جاوس يقدم لنا قيمة المجال الكهربي الناشئ عن خط لا نهائي ومنتظم من الشحنات:
(1) 
عندما تكون الشحنة موزعة على قشرة أسطوانية نصف قطرها R فإننا نستطيع اختيار السطح الجاوسي داخل وخارج R لحساب E بطريقة مشابهة لما حدث في القسم الخاص بالشحنات الكروية.
الشكل (1)
الاكثر قراءة في الكهربائية
اخر الاخبار
اخبار العتبة العباسية المقدسة