دائرة كهربائية تحتوي على مكثف
المؤلف:
وفاء السواح
المصدر:
أساسيات الكهربائية التيارية
الجزء والصفحة:
.....
17-7-2016
2681
دائرة كهربائية تحتوي على مكثف
نفرض لدينا دائرة كهربية تتكون من مكثف سعتهC متصل على التوالي مع مصدر جهد متردد كما هو موضح بالشكل.

عند تطبيق فرق جهد متردد على مكثف، فأنه يشحن في نصف دورة الموجب و يفرغ هذه الشحنة في نصف الدورة السالب.
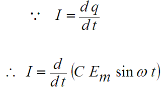
و مقدار الشحنة الموجودة على المكثف ترتبط بفرق الجهد من خلال العلاقة
q = C E
(1)
(2)

(3)
(4)
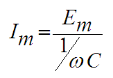
حيث أن

و من هذه المعادلة يتضح أن المقدار 1/ω C يمثل الممانعة السعوية للمكثف.
و من المعادلتين (1) و (4) نجد أن التيار يسبق الجهد بزاوية 90o أو π /2 أو أن الجهد متأخر عن التيار بهذه الزاوية.
و القدرة تعطى من المعادلة:
و من حساب المثلثات نجد أن
(5)
و من هذه المعادلة نجد أن متوسط القدرة في دورة كاملة =0 . كما نلاحظ أن القدرة كمية مترددة و ترددها ضعف تردد الجهد أو التيار و أن أكبر قيمة لها Em Im½ .
و منحنيات الجهد و التيار و القدرة لها الشكل

الاكثر قراءة في الكهربائية
اخر الاخبار
اخبار العتبة العباسية المقدسة