The central assumption made in the analysis of conventional AC circuits is that the voltage (and, hence, the current) has the same phase throughout the circuit. Unfortunately, if the circuit is sufficiently large and the frequency of oscillation ⍵ is sufficiently high then this assumption becomes invalid. The assumption of a constant phase throughout the circuit is reasonable if the wavelength of the oscillation λ = 2π c/⍵ is much larger than the dimensions of the circuit. This is generally not the case in electrical circuits which are associated with communication. The frequencies in such circuits tend to be high and the dimensions are, almost by definition, large. For instance, leased telephone lines (the type you attach computers to) run at 56 kHz. The corresponding wavelength is about 5 km, so the constant phase approximation clearly breaks down for long distance calls. Computer networks generally run at about 10 MHz, corresponding to λ ~ 30 m. Thus, the constant phase approximation also breaks down for the computer net- work in this building, which is certainly longer than 30 m. It turns out that you need a special sort of wire, called a transmission line, to propagate signals around circuits whose dimensions greatly exceed the wavelength λ. Let us investigate transmission lines. An idealized transmission line consists of two parallel conductors of uniform cross-sectional area. The conductors possess a capacitance per unit length C, and an inductance per unit length L. Suppose that x measures the position along the line. Consider the voltage difference between two neigh bouring points on the line, located at positions x and x + δx, respectively. The self-inductance of the portion of the line lying between these two points is L δx. This small section of the line can be thought of as a conventional inductor, and therefore obeys the well-known equation
(1.1)
where V (x, t) is the voltage difference between the two conductors at position x and time t, and I(x, t) is the current °owing in one of the conductors at position x and time t [the current °owing in the other conductor is -I(x, t) ]. In the limit δx → 0, the above equation reduces to
(1.2)
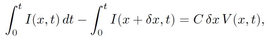
Consider the difference in current between two neigh bouring points on the line, located at positions x and x + δx, respectively. The capacitance of the portion of the line lying between these two points is C δx. This small section of the line can be thought of as a conventional capacitor, and therefore obeys the well-known equation
(1.3)
where t = 0 denotes a time at which the charge stored in either of the conductors in the region x to x + δx is zero. In the limit δx → 0, the above equation yields
(1.4)
Equations (1.2) and (1.4) are generally known as the ''telegrapher's equations", since an old fashioned telegraph line can be thought of as a primitive transmission line (telegraph lines consist of a single wire; the other conductor is the Earth.) Differentiating Eq. (1.2) with respect to x, we obtain
(1.5)
Differentiating Eq. (1.4) with respect to t yields
(1.6)
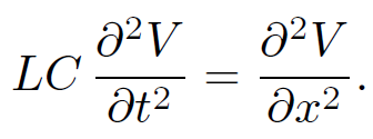
The above two equations can be combined to give
(1.7)
This is clearly a wave equation with wave velocity
. An analogous equation can be written for the current I. Consider a transmission line which is connected to a generator at one end (x = 0) and a resistor R at the other (x = l). Suppose that the generator outputs a voltage V0 cos ⍵t. If follows that
(1.8)
The solution to the wave equation (1.7), subject to the above boundary condition, is
(1.9)
where
. This clearly corresponds to a wave which propagates from the generator towards the resistor. Equations (1.2) and (1.9) yield
(1.10)
For self-consistency, the resistor at the end of the line must have a particular value;
(1.11)
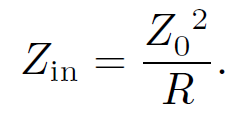
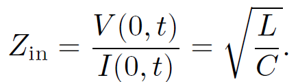
The so-called ''input impedance" of the line is defined
(1.12)
Thus, a transmission line terminated by a resistor
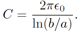
acts very much like a conventional resistor R = Zin in the circuit containing the generator. In fact, the transmission line could be replaced by an effective resistor R = Zin in the circuit diagram for the generator circuit. The power loss due to this effective resistor corresponds to power which is extracted from the circuit, transmitted down the line, and absorbed by the terminating resistor. The most commonly occurring type of transmission line is a co-axial cable, which consists of two co-axial cylindrical conductors of radii a and b (with b > a). We have already shown that the capacitance per unit length of such a cable is
(1.13)
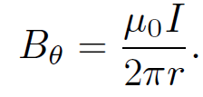
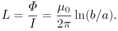
Let us now calculate the inductance per unit length. Suppose that the inner conductor carries a current I. According to Ampere's law, the magnetic field in the region between the conductors is given by
(1.14)
The flux linking unit length of the cable is
(1.15)
Thus, the self-inductance per unit length is
(1.16)
The speed of propagation of a wave down a co-axial cable is
(1.17)
Not surprisingly, the wave (which is a type of electromagnetic wave) propagates at the speed of light. The impedance of the cable is given by
(1.18)
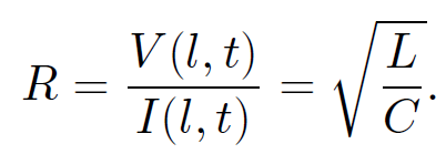
We have seen that if a transmission line is terminated by a resistor whose resistance R matches the impedance Z0 of the line then all the power sent down the line is absorbed by the resistor. What happens if R ≠Z0? The answer is that some of the power is reflected back down the line. Suppose that the beginning of the line lies at x = -l and the end of the line is at x = 0. Let us consider a solution
(1.19)
This corresponds to a voltage wave of amplitude V0 which travels down the line and is reflected, with reflection coefficient K, at the end of the line. It is easily demonstrated from the telegrapher's equations that the corresponding current waveform is
(1.20)
Since the line is terminated by a resistance R at x = 0 we have, from Ohm's law,
(1.21)
This yields an expression for the coefficient of reflection,
(1.22)
The input impedance of the line is given by
(1.23)
Clearly, if the resistor at the end of the line is properly matched, so that R = Z0, then there is no reflection (i.e., K = 0), and the input impedance of the line is Z0. If the line is short circuited, so that R = 0, then there is total reflection at the end of the line (i.e., K = -1), and the input impedance becomes
(1.24)
This impedance is purely imaginary, implying that the transmission line absorbs no net power from the generator circuit. In fact, the line acts rather like a pure inductor or capacitor in the generator circuit (i.e., it can store, but cannot absorb, energy). If the line is open circuited, so that R → ∞, then there is again total reflection at the end of the line (i.e., K = 1), and the input impedance becomes
(1.25)
Thus, the open circuited line acts like a closed circuited line which is shorter by one quarter of a wavelength. For the special case where the length of the line is exactly one quarter of a wavelength (i.e., kl = π/2), we find
(1.26)
Thus, a quarter wave line looks like a pure resistor in the generator circuit. Finally, if the length of the line is much less than the wavelength (i.e., kl << 1) then we enter the constant phase regime, and Zin ≃ R (i.e., we can forget about the transmission line connecting the terminating resistor to the generator circuit). Suppose that we want to build a radio transmitter. We can use a half wave antenna to emit the radiation. We know that in electrical circuits such an antenna acts like a resistor of resistance 73 ohms (it is more usual to say that the antenna has an impedance of 73 ohms). Suppose that we buy a 500 kW generator to supply the power to the antenna. How do we transmit the power from the generator to the antenna? We use a transmission line, of course. (It is clear that if the distance between the generator and the antenna is of order the dimensions of the antenna (i.e., λ/2) then the constant phase approximation breaks down, so we have to use a transmission line.) Since the impedance of the antenna is fixed at 73 ohms we need to use a 73 ohm transmission line (i.e., Z0 = 73 ohms) to connect the generator to the antenna, otherwise some of the power we send down the line is reflected (i.e., not all of the power output of the generator is converted into radio waves). If we wish to use a co-axial cable to connect the generator to the antenna, then it is clear from Eq. (1.18) that the radii of the inner and outer conductors need to be such that b/a = 3.38. Suppose, finally, that we upgrade our transmitter to use a full wave antenna (i.e., an antenna whose length equals the wavelength of the emitted radiation). A full wave antenna has a different impedance than a half wave antenna. Does this mean that we have to rip out our original co-axial cable and replace it by one whose impedance matches that of the new antenna? Not necessarily. Let Z0 be the impedance of the co-axial cable, and Z1 the impedance of the antenna. Suppose that we place a quarter wave transmission line (i.e., one whose length is one quarter of a wavelength) of characteristic impedance Z1/4 =
between the end of the cable and the antenna. According to Eq. (1.26) (with Z0 →
and R → Z1) the input impedance of the quarter wave line is Zin = Z0, which matches that of the cable. The output impedance matches that of the antenna. Consequently, there is no reflection of the power sent down the cable to the antenna. A quarter wave line of the appropriate impedance can easily be fabricated from a short length of co-axial cable of the appropriate b/a.
الاكثر قراءة في الكهربائية
اخر الاخبار
اخبار العتبة العباسية المقدسة