
تاريخ الفيزياء

علماء الفيزياء


الفيزياء الكلاسيكية

الميكانيك

الديناميكا الحرارية


الكهربائية والمغناطيسية

الكهربائية

المغناطيسية

الكهرومغناطيسية


علم البصريات

تاريخ علم البصريات

الضوء

مواضيع عامة في علم البصريات

الصوت


الفيزياء الحديثة


النظرية النسبية

النظرية النسبية الخاصة

النظرية النسبية العامة

مواضيع عامة في النظرية النسبية

ميكانيكا الكم

الفيزياء الذرية

الفيزياء الجزيئية


الفيزياء النووية

مواضيع عامة في الفيزياء النووية

النشاط الاشعاعي


فيزياء الحالة الصلبة

الموصلات

أشباه الموصلات

العوازل

مواضيع عامة في الفيزياء الصلبة

فيزياء الجوامد


الليزر

أنواع الليزر

بعض تطبيقات الليزر

مواضيع عامة في الليزر


علم الفلك

تاريخ وعلماء علم الفلك

الثقوب السوداء


المجموعة الشمسية

الشمس

كوكب عطارد

كوكب الزهرة

كوكب الأرض

كوكب المريخ

كوكب المشتري

كوكب زحل

كوكب أورانوس

كوكب نبتون

كوكب بلوتو

القمر

كواكب ومواضيع اخرى

مواضيع عامة في علم الفلك

النجوم

البلازما

الألكترونيات

خواص المادة


الطاقة البديلة

الطاقة الشمسية

مواضيع عامة في الطاقة البديلة

المد والجزر

فيزياء الجسيمات


الفيزياء والعلوم الأخرى

الفيزياء الكيميائية

الفيزياء الرياضية

الفيزياء الحيوية

الفيزياء العامة


مواضيع عامة في الفيزياء

تجارب فيزيائية

مصطلحات وتعاريف فيزيائية

وحدات القياس الفيزيائية

طرائف الفيزياء

مواضيع اخرى
الطاقة الميكانيكية لمنظومة الجسم والنابض (Mechanical Energy for Block – Spring System)
المؤلف:
د. معن صفاء ابراهيم
المصدر:
الفيزياء الجامعية 101
الجزء والصفحة:
ص 162
19-2-2016
6128
الطاقة الميكانيكية لمنظومة الجسم والنابض (Mechanical Energy for Block – Spring System)
أن كلمة منظومة (System) تعني ارتباط جسمين او اكثر بحيث يكونون وحدة واحدة. وهنا سوف نوضح أربعة أوضاع لحساب الطاقة الميكانيكية لمنظومة الجسم والنابض كما في الشكل (1-1).

الشكل (1-1)
الحالة (1): تمثل جسم يتحرك بسرعة (vi) باتجاه نابض في حالة استقرار دون أن يلامسه. الطاقة الميكانيكية للمنظومة تساوي مجموع الطاقة الميكانيكية للجسم والنابض:

علماً ان ubody = 0 لأن الجسم يتحرك على المحور السيني (لا يوجد تغير في الإحداثيات الصادية).
كما أن : us = 0 حيث النابض لم يتعرض لضغط او سحب (النابض يتملك طاقة وضع فقط ولا يتملك طاقة حركية أبداً، أي أن Ks = 0).
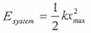
الحالة (2): الجسم يصطدم ويستمر بالضغط عليه مما يولد طاقة وضع داخل النابض ، us = ½ kx2 ، حيث x تمثل مقدار إزاحة النابض عن نقطة الاستقرار. وبذلك تكون الطاقة الميكانيكية للمنظومة تساوي:

حيث ubody = 0.
الحالة (3): الجسم يولد اكبر ضغط على النابض ثم يتوقف عن الحركة (v = 0)، وبذلك تكون الطاقة الميكانيكية للمنظومة تساوي :

حيث : Kbody = 0 ، ubody = 0
الحالة (4): النابض يدفع الجسم بعيداً عنه بسرعة أولية (vi) بسبب قوة إرجاع النابض وبعدها يعود النابض إلى وضع الاستقرار، وبذلك تكون الطاقة الميكانيكية مساوية إلى:

الاكثر قراءة في الميكانيك
اخر الاخبار
اخبار العتبة العباسية المقدسة
الآخبار الصحية

قسم الشؤون الفكرية يصدر كتاباً يوثق تاريخ السدانة في العتبة العباسية المقدسة
"المهمة".. إصدار قصصي يوثّق القصص الفائزة في مسابقة فتوى الدفاع المقدسة للقصة القصيرة
(نوافذ).. إصدار أدبي يوثق القصص الفائزة في مسابقة الإمام العسكري (عليه السلام)