تاريخ الفيزياء
علماء الفيزياء
الفيزياء الكلاسيكية
الميكانيك
الديناميكا الحرارية
الكهربائية والمغناطيسية
الكهربائية
المغناطيسية
الكهرومغناطيسية
علم البصريات
تاريخ علم البصريات
الضوء
مواضيع عامة في علم البصريات
الصوت
الفيزياء الحديثة
النظرية النسبية
النظرية النسبية الخاصة
النظرية النسبية العامة
مواضيع عامة في النظرية النسبية
ميكانيكا الكم
الفيزياء الذرية
الفيزياء الجزيئية
الفيزياء النووية
مواضيع عامة في الفيزياء النووية
النشاط الاشعاعي
فيزياء الحالة الصلبة
الموصلات
أشباه الموصلات
العوازل
مواضيع عامة في الفيزياء الصلبة
فيزياء الجوامد
الليزر
أنواع الليزر
بعض تطبيقات الليزر
مواضيع عامة في الليزر
علم الفلك
تاريخ وعلماء علم الفلك
الثقوب السوداء
المجموعة الشمسية
الشمس
كوكب عطارد
كوكب الزهرة
كوكب الأرض
كوكب المريخ
كوكب المشتري
كوكب زحل
كوكب أورانوس
كوكب نبتون
كوكب بلوتو
القمر
كواكب ومواضيع اخرى
مواضيع عامة في علم الفلك
النجوم
البلازما
الألكترونيات
خواص المادة
الطاقة البديلة
الطاقة الشمسية
مواضيع عامة في الطاقة البديلة
المد والجزر
فيزياء الجسيمات
الفيزياء والعلوم الأخرى
الفيزياء الكيميائية
الفيزياء الرياضية
الفيزياء الحيوية
الفيزياء العامة
مواضيع عامة في الفيزياء
تجارب فيزيائية
مصطلحات وتعاريف فيزيائية
وحدات القياس الفيزيائية
طرائف الفيزياء
مواضيع اخرى
The Simple Pendulum
المؤلف:
Professor John W. Norbury
المصدر:
ELEMENTARY MECHANICS & THERMODYNAMICS
الجزء والصفحة:
p 183
30-12-2016
3825
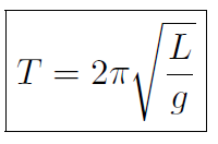
The Simple Pendulum
A pendulum is a very important type of oscillating motion and a very important clock (e.g. ''Grandfather Clock"). Let's analyze the forces and show that the period is independent of amplitude.
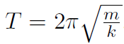
Example Prove that the period of a pendulum undergoing small oscillations is given by where L is the length of the pendulum.
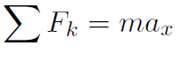
Solution we have
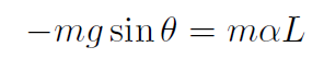
where we take the x direction to be perpendicular to the string. Thus
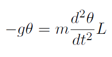
where α is the angular acceleration . Now for small oscillations, sin θ
θ, so that
Now compare this to our spring equation which was
which had period . Thus for the pendulum we must have
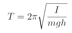
Example Prove that the period of oscillation is , where I is the rotational inertia, m is the total mass and h is the distance from the rotation axis to the center of mass. Assume small oscillations.
Solution The torque is
where the minus sign indicates that when θ increases the torque acts in the opposite direction. For small oscillations sin θθ giving
Substitute into Newton's second law
gives
Now compare this to our spring equation which was
which had period . Thus for the physical pendulum we must have
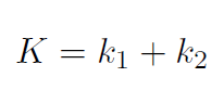
FIGURE 1.1 Block sliding on frictionless surface with various spring combinations.
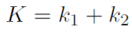
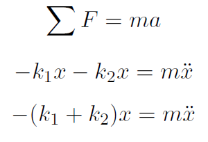
Example Two springs, with spring constants k1 and k2, are connected in parallel to a mass m sliding on a frictionless surface, as shown in Fig. 1.1a. What is the effective spring constant K? (i.e. If the two springs were replaced by a single spring with constant K, what is K in terms of k1 and k2?) Assume both springs have zero mass.
Solution If m moves by an amount x then it feels two forces -k1x and -k2x, giving
giving
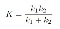
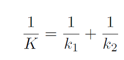
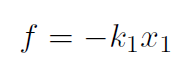
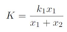
Example The two springs of the previous example are connected in series, as shown in Fig. 1.1b. What is the effective spring constant K ?
Solution If spring 1 moves a distance x1 and spring 2 moves a distance x2 then the mass moves a distance x1 + x2. The force the mass feels is
Now consider the motion of the mass plus spring 2 system. The force it feels is
but we must have F = f because ma is same for mass m and mass plus spring 2 system because spring 2 has zero mass. Thus
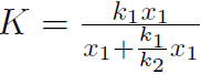
but
(the ratio of stretching is inversely proportional to spring strength.) Thus
giving
or
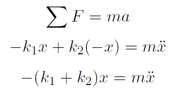
Example The two springs of the previous example are connected as shown in Fig.1.1c. What is the effective spring constant K ?
Solution If spring 1 is compressed by x then spring 2 is stretched by -x. Thus
giving
الاكثر قراءة في الميكانيك
اخر الاخبار
اخبار العتبة العباسية المقدسة

الآخبار الصحية
