

المحاسبة

تطور الفكر المحاسبي

الافصاح والقوائم المالية

الرقابة والنظام المحاسبي

نظرية ومعايير المحاسبة الدولية

نظام التكاليف و التحليل المحاسبي

نظام المعلومات و القرارات الادارية

مواضيع عامة في المحاسبة

مفاهيم ومبادئ المحاسبة


ادارة الاعمال


الادارة

الادارة: المفهوم والاهمية والاهداف والمبادئ

وظائف المدير ومنظمات الاعمال

الادارة وعلاقتها بالعلوم الاخرى

النظريات الادارية والفكر الاداري الحديث

التطور التاريخي والمدارس والمداخل الادارية


وظيفة التخطيط

انواع التخطيط

خطوات التخطيط ومعوقاته

مفهوم التخطيط واهميته


وظيفة التنظيم

العملية التنظيمية والهيكل التنظيمي

مفهوم التنظيم و مبادئه


وظيفة التوجيه

الاتصالات

انواع القيادة و نظرياتها

مفهوم التوجيه واهميته


وظيفة الرقابة

انواع الرقابة

خصائص الرقابة و خطواتها

مفهوم الرقابة و اهميتها

اتخاذ القرارات الادارية لحل المشاكل والتحديات

مواضيع عامة في الادارة

المؤسسات الصغيرة والمتوسطة


ادارة الانتاج

ادارة الانتاج: المفهوم و الاهمية و الاهداف و العمليات

التطور التاريخي والتكنلوجي للانتاج

نظام الانتاج وانواعه وخصائصه

التنبؤ والتخطيط و تحسين الانتاج والعمليات

ترتيب المصنع و التخزين والمناولة والرقابة

الموارد البشرية والامداد والتوريد

المالية والمشتريات والتسويق

قياس تكاليف وكفاءة العمل والاداء والانتاج

مواضيع عامة في ادارة الانتاج


ادارة الجودة

الجودة الشاملة: المفهوم و الاهمية و الاهداف و المبادئ

نظام الايزو ومعايير الجودة

ابعاد الجودة و متطلباتها

التطور التاريخي للجودة و مداخلها

الخدمة والتحسين المستمر للجودة

خطوات ومراحل تطبيق الجودة الشاملة

التميز التنافسي و عناصر الجودة

مواضيع عامة في ادارة الجودة


الادارة الاستراتيجية

الادارة الاستراتيجية: المفهوم و الاهمية و الاهداف والمبادئ

اساليب التخطيط الاستراتيجي ومراحله

التطور التاريخي للادارة الاستراتيجية

النظريات و الانظمة و القرارات و العمليات

تحليل البيئة و الرقابة و القياس

الصياغة و التطبيق و التنفيذ والمستويات

مواضيع عامة في الادارة الاستراتيجية


ادارة التسويق

ادارة التسويق : المفهوم و الاهمية و الاهداف و الانواع

استراتيجية التسويق والمزيج التسويقي

البيئة التسويقية وبحوث التسويق

المستهلك والخدمة والمؤسسات الخدمية

الاسواق و خصائص التسويق و انظمته

مواضيع عامة في ادارة التسويق


ادارة الموارد البشرية

ادارة الموارد البشرية : المفهوم و الاهمية و الاهداف و المبادئ

التطور التاريخي لادارة الموارد البشرية

استراتيجية ادارة الموارد البشرية

الوظائف والتعيينات

الحوافز والاجور

التدريب و التنمية

السياسات و التخطيط

التحديات والعولمة ونظام المعلومات

مواضيع عامة في ادارة الموارد البشرية

نظم المعلومات


علوم مالية و مصرفية


المالية العامة

الموازنات المالية

النفقات العامة

الايرادات العامة

مفهوم المالية

التدقيق والرقابة المالية

السياسات و الاسواق المالية

الادارة المالية والتحليل المالي

المؤسسات المالية والمصرفية وادارتها


الاقتصاد

مفهوم ونشأت وعلاقة علم الاقتصاد بالعلوم الاخرى

السياسة الاقتصادية والمالية والنقدية

التحليل الأقتصادي و النظريات

التكتلات والنمو والتنمية الأقتصادية

الاستثمار ودراسة الجدوى الأقتصادية

ألانظمة الاقتصادية

مواضيع عامة في علم الاقتصاد


الأحصاء

تطور علم الاحصاء و علاقته بالعلوم الاخرى

مفهوم واهمية علم الاحصاء

البيانات الأحصائية
الوسيط الحسابي
المؤلف:
د.شرف الدين خليل
المصدر:
الاحصاء الوصفي
الجزء والصفحة:
ص36-41
16-4-2018
44204
الوسيط الحسابي Median : هو أحد مقاييس النزعة المركزية، والذي يأخذ في الاعتبار رتب القيم ، ويعرف الوسيط بأنه القيمة التي يقل عنها نصف عدد القيم (2/ n) ويزيد عنها النصف الآخر(2/ n) أي أن50% من القيم أقل منه، % 50 من القيم أعلى منه. وفيما يلي كيفية حساب الوسيط في حالة البيانات غير مبوبة ، والبيانات المبوبة.
أولا: الوسيط للبيانات غير المبوبة: لبيان كيف يمكن حساب الوسيط للبيانات غير المبوبة ، نتبع الخطوات التالية:
• ترتب القيم تصاعديا .
• تحديد رتبة الوسيط، وهي رتبة الوسيط 
• إذا كان عدد القيم (n) فردي فإن الوسيط هو:

إذا كان عدد القيم(n) زوجي، فإن الوسيط يقع بين القيمة رقم(2/ n) والقيمة رقم((n / 2) +1) ومن ثم يحسب الوسيط بتطبيق المعادلة التالية:

مثال(3-3): تم تقسيم قطعة أرض زراعية إلى 17 وحدة تجريبية متشابهة ، وتم زراعتها بمحصول القمح ، وتم استخدام نوعين من التسميد هما : النوع (a) وجرب على 7 وحدات تجريبية ، والنوع(b) وجرب على 10 وحدات تجريبية ، وبعد انتهاء الموسم الزراعي ، تم تسجيل إنتاجية الوحدة بالطن / هكتار ، وكانت على النحو التالي:

والمطلوب حساب وسيط الإنتاج لكل نوع من السماد المستخدم، ثم قارن بينها.
الحل:



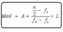
ثانيا: الوسيط للبيانات المبوبة: لحساب الوسيط من بيانات مبوبة في جدول توزيع تكراري ، يتم إتباع الخطوات التالية:


حيث أن :
L هي طول فئة الوسيط، وتحسب بالمعادلة التالية:
طول الفئة = الحد الأعلى – الحد الأدنى
L = Upper - Lower
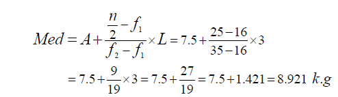
مثال ( 3–4) فيما يلي توزيع 50 عجل متوسط الحجم ، حسب احتياجاته اليومية من الغذاء الجاف بالكيلوجرام

والمطلوب : حساب الوسيط :
أ - حسابيا
ب- بيانيا
الحل
أولا : حساب الوسيط حسابيا

• تحديد فئة الوسيط : وهى الفئة التي تشمل قيمة الوسيط ، وهي قيمة أقل منها ( 2 (n/ من القيم ، ويمكن معرفتها بتحديد التكرارين المتجمعين الصاعدين الذين يقع بينهما رتبة الوسيط(n/ 2) وفى الجدول أعلاه نجد أن رتبة الوسيط ( 25 ) تقع بين التكرارين المتجمعين ( 35 ، 16)، ويكون الحد الأدنى لفئة الوسيط هو المناظر للتكرار المتجمع الصاعد السابق 7.5 والحد الأعلى لفئة الوسيط هو المناظر للتكرار المتجمع الصاعد اللاحق 10.5 . أي أن فئة الوسيط هي : ( 10.5-7.5)
• وبتطبيق معادلة الوسيط للبيانات المبوبة على هذا المثال نجد أن : -


ثانيا :حساب الوسيط بيانيا
تمثيل جدول التوزيع التكراري المتجمع الصاعد بيانياً

• تحديد رتبة الوسيط ( 25 ) على المنحنى التكراري المتجمع الصاعد . ثم رسم خط مستقيم أفقي حتى يلقى المنحنى في النقطة. (a)
• إسقاط عمود رأسي من النقطة · (a) على المحور الأفقي .
• نقطة تقاطع الخط الرأسي مع المحور الأفقي تعطى قيمة الوسيط .
• الوسيط كما هو مبين في الشكل 8.6 ·=. Med
مزايا وعيوب الوسيط :
من مزايا الوسيط
1- لا يتأثر بالقيم الشاذة أو المتطرفة .
2- كما أنه سهل في الحساب .
3- مجموع قيم الانحرافات المطلقة عن الوسيط أقل من مجموع الانحرافات المطلقة عن أي قيم.

ومن عيوب الوسيط
1- أنه لا يأخذ عند حسابه كل القيم في الاعتبار، فهو يعتمد على قيمة أو قيمتين فقط .
2- يصعب حسابه في حالة البيانات الوصفية المقاسة بمعيار اسمي nominal.
الاكثر قراءة في البيانات الأحصائية
اخر الاخبار
اخبار العتبة العباسية المقدسة
الآخبار الصحية

قسم الشؤون الفكرية يصدر كتاباً يوثق تاريخ السدانة في العتبة العباسية المقدسة
"المهمة".. إصدار قصصي يوثّق القصص الفائزة في مسابقة فتوى الدفاع المقدسة للقصة القصيرة
(نوافذ).. إصدار أدبي يوثق القصص الفائزة في مسابقة الإمام العسكري (عليه السلام)