

المحاسبة

تطور الفكر المحاسبي

الافصاح والقوائم المالية

الرقابة والنظام المحاسبي

نظرية ومعايير المحاسبة الدولية

نظام التكاليف و التحليل المحاسبي

نظام المعلومات و القرارات الادارية

مواضيع عامة في المحاسبة

مفاهيم ومبادئ المحاسبة


ادارة الاعمال


الادارة

الادارة: المفهوم والاهمية والاهداف والمبادئ

وظائف المدير ومنظمات الاعمال

الادارة وعلاقتها بالعلوم الاخرى

النظريات الادارية والفكر الاداري الحديث

التطور التاريخي والمدارس والمداخل الادارية


وظيفة التخطيط

انواع التخطيط

خطوات التخطيط ومعوقاته

مفهوم التخطيط واهميته


وظيفة التنظيم

العملية التنظيمية والهيكل التنظيمي

مفهوم التنظيم و مبادئه


وظيفة التوجيه

الاتصالات

انواع القيادة و نظرياتها

مفهوم التوجيه واهميته


وظيفة الرقابة

انواع الرقابة

خصائص الرقابة و خطواتها

مفهوم الرقابة و اهميتها

اتخاذ القرارات الادارية لحل المشاكل والتحديات

مواضيع عامة في الادارة

المؤسسات الصغيرة والمتوسطة


ادارة الانتاج

ادارة الانتاج: المفهوم و الاهمية و الاهداف و العمليات

التطور التاريخي والتكنلوجي للانتاج

نظام الانتاج وانواعه وخصائصه

التنبؤ والتخطيط و تحسين الانتاج والعمليات

ترتيب المصنع و التخزين والمناولة والرقابة

الموارد البشرية والامداد والتوريد

المالية والمشتريات والتسويق

قياس تكاليف وكفاءة العمل والاداء والانتاج

مواضيع عامة في ادارة الانتاج


ادارة الجودة

الجودة الشاملة: المفهوم و الاهمية و الاهداف و المبادئ

نظام الايزو ومعايير الجودة

ابعاد الجودة و متطلباتها

التطور التاريخي للجودة و مداخلها

الخدمة والتحسين المستمر للجودة

خطوات ومراحل تطبيق الجودة الشاملة

التميز التنافسي و عناصر الجودة

مواضيع عامة في ادارة الجودة


الادارة الاستراتيجية

الادارة الاستراتيجية: المفهوم و الاهمية و الاهداف والمبادئ

اساليب التخطيط الاستراتيجي ومراحله

التطور التاريخي للادارة الاستراتيجية

النظريات و الانظمة و القرارات و العمليات

تحليل البيئة و الرقابة و القياس

الصياغة و التطبيق و التنفيذ والمستويات

مواضيع عامة في الادارة الاستراتيجية


ادارة التسويق

ادارة التسويق : المفهوم و الاهمية و الاهداف و الانواع

استراتيجية التسويق والمزيج التسويقي

البيئة التسويقية وبحوث التسويق

المستهلك والخدمة والمؤسسات الخدمية

الاسواق و خصائص التسويق و انظمته

مواضيع عامة في ادارة التسويق


ادارة الموارد البشرية

ادارة الموارد البشرية : المفهوم و الاهمية و الاهداف و المبادئ

التطور التاريخي لادارة الموارد البشرية

استراتيجية ادارة الموارد البشرية

الوظائف والتعيينات

الحوافز والاجور

التدريب و التنمية

السياسات و التخطيط

التحديات والعولمة ونظام المعلومات

مواضيع عامة في ادارة الموارد البشرية

نظم المعلومات


علوم مالية و مصرفية


المالية العامة

الموازنات المالية

النفقات العامة

الايرادات العامة

مفهوم المالية

التدقيق والرقابة المالية

السياسات و الاسواق المالية

الادارة المالية والتحليل المالي

المؤسسات المالية والمصرفية وادارتها


الاقتصاد

مفهوم ونشأت وعلاقة علم الاقتصاد بالعلوم الاخرى

السياسة الاقتصادية والمالية والنقدية

التحليل الأقتصادي و النظريات

التكتلات والنمو والتنمية الأقتصادية

الاستثمار ودراسة الجدوى الأقتصادية

ألانظمة الاقتصادية

مواضيع عامة في علم الاقتصاد


الأحصاء

تطور علم الاحصاء و علاقته بالعلوم الاخرى

مفهوم واهمية علم الاحصاء

البيانات الأحصائية
مقاييس الالتواء
المؤلف:
د.شرف الدين خليل
المصدر:
الاحصاء الوصفي
الجزء والصفحة:
ص68-72
21-4-2018
101047
المقاﻳﻴﺲ ﺍﻷﺧﺮﻯ ﻟﻮﺻﻒ ﺍﻟﺒﻴﺎﻧﺎﺕ :
ﻋﻨﺪ تمثيل ﺑﻴﺎﻧﺎﺕ ﺍﻟﻈﺎﻫﺮﺓ في ﺷﻜﻞ ﻣﻨحنى ﺗﻜﺮﺍﺭي فإن ﻫﺬﺍ المنحني ﻳﺄﺧﺬ ﺃﺷﻜﺎﻻً مختلفة ، فقد يكون هذا المنحنى متماثل بمعنى ان له قمة بالمنتصف ، ﻭﻟﻮ ﺃﺳﻘﻄﻨﺎ ﻋﻤﻮﺩﺍ ﻣﻦ ﻗﻤﺘﻪ ﻋﻠﻰ المحور الافقي لتم شطره الى نصفين متماثلين ، مثل منحنى التوزيع الطبيعي كما مبين في الشكل :

وعندما يكون الشكل متماثل فان الوسط والوسيط والمنوال كلهم يقعون على نقطة واحدة ، ولكن في كثير من الحالات يكون هناك قيم كبيرة في البيانات تجذب اليها الوسط الحسابي ، وهذا معناه ان المنحنى التكراري سوف يكون له ذيل جهة اليمين ، مشيراً بوجود التواء جهة اليمين ، وكذلك العكس لو ان البيانات بها قيم صغيرة فانها تجذب الوسط اليها ، ويشير المنحنى التكراري على جود التواء جهة اليسار ، كما يمكن من خلال الشكل البياني معرفة ما اذا كان شكل توزيع البيانات منبسط او مدبب وهذا من الناحية البيانية ، الا ان هناك مقاييس كثيرة لوصف البيانات تعتمد في حسابها على مقاييس النزعة المركزية والتشتت معاً ومنها مقاييس الالتواء والتفرطح وبعض المقاييس الاخرى التي سيتم عرضها فيما بعد .
مقاييس الالتواء skewness : هناك طرق كثيرة لقياس الالتواء ومنها ما يلي:
1- طريقة "بيرسون "Person في قياس الالتواء: تأخذ هذه الطريقة في الاعتبار العلاقة بين الوسط والوسيط والمنوال، في حالة ما إذا كان التوزيع قريب من التماثل وليس شديد الالتواء ، وهذه العلاقة هي(5-1)

حيث أن a ألفا هو معامل الالتواء "لبيرسون
الوسط الحسابي Med هو الوسيط Sهو الانحراف المعياري، ويمكن من خلال الإشارة التي يأخذها هذا المعامل الحكم على شكل الالتواء، كما يلي :
• إذا كان الوسط الحسابي = (الوسيط (كان قيمة المعامل(0 = a) ويدل ذلك على أن منحنى التوزيع التكراري متماثل.
•إذا كان(الوسط الحسابي < الوسيط (كان قيمة المعامل( 0 > a ) ويدل ذلك على أن منحنى التوزيع التكراري ملتوي جهة اليمين .
• إذا كان(الوسط الحسابي >الوسيط (كان قيمة المعامل(0 < a) ويدل ذلك على أن منحنى التوزيع التكراري ملتوي جهة اليسار.
شكل(5-1). أشكال التواء البيانات





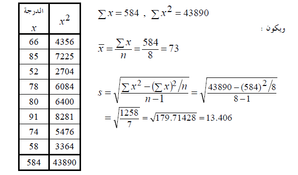
مثال(5-1): كانت درجات 8 طلاب في الاختبار النهائي في مقرر 122 إحصاء ، كالتالي.
66 85 52 78 80 91 74 58
والمطلوب
1- حساب معامل الالتواء بطريقة " بيرسون " .
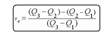
2- حساب معامل الالتواء الربيعي .
الحل
1- حساب معامل الالتواء بطريقة "بيرسون" .
2- كما يلي: - في هذه الحالة يتم تطبيق المعادلة رقم )5-2)
• حساب الوسط الحسابي ، والانحراف المعياري :

•حساب الوسيط :
موقع الوسيط



الاكثر قراءة في البيانات الأحصائية
اخر الاخبار
اخبار العتبة العباسية المقدسة
الآخبار الصحية

قسم الشؤون الفكرية يصدر كتاباً يوثق تاريخ السدانة في العتبة العباسية المقدسة
"المهمة".. إصدار قصصي يوثّق القصص الفائزة في مسابقة فتوى الدفاع المقدسة للقصة القصيرة
(نوافذ).. إصدار أدبي يوثق القصص الفائزة في مسابقة الإمام العسكري (عليه السلام)