

المحاسبة

تطور الفكر المحاسبي

الافصاح والقوائم المالية

الرقابة والنظام المحاسبي

نظرية ومعايير المحاسبة الدولية

نظام التكاليف و التحليل المحاسبي

نظام المعلومات و القرارات الادارية

مواضيع عامة في المحاسبة

مفاهيم ومبادئ المحاسبة


ادارة الاعمال


الادارة

الادارة: المفهوم والاهمية والاهداف والمبادئ

وظائف المدير ومنظمات الاعمال

الادارة وعلاقتها بالعلوم الاخرى

النظريات الادارية والفكر الاداري الحديث

التطور التاريخي والمدارس والمداخل الادارية


وظيفة التخطيط

انواع التخطيط

خطوات التخطيط ومعوقاته

مفهوم التخطيط واهميته


وظيفة التنظيم

العملية التنظيمية والهيكل التنظيمي

مفهوم التنظيم و مبادئه


وظيفة التوجيه

الاتصالات

انواع القيادة و نظرياتها

مفهوم التوجيه واهميته


وظيفة الرقابة

انواع الرقابة

خصائص الرقابة و خطواتها

مفهوم الرقابة و اهميتها

اتخاذ القرارات الادارية لحل المشاكل والتحديات

مواضيع عامة في الادارة

المؤسسات الصغيرة والمتوسطة


ادارة الانتاج

ادارة الانتاج: المفهوم و الاهمية و الاهداف و العمليات

التطور التاريخي والتكنلوجي للانتاج

نظام الانتاج وانواعه وخصائصه

التنبؤ والتخطيط و تحسين الانتاج والعمليات

ترتيب المصنع و التخزين والمناولة والرقابة

الموارد البشرية والامداد والتوريد

المالية والمشتريات والتسويق

قياس تكاليف وكفاءة العمل والاداء والانتاج

مواضيع عامة في ادارة الانتاج


ادارة الجودة

الجودة الشاملة: المفهوم و الاهمية و الاهداف و المبادئ

نظام الايزو ومعايير الجودة

ابعاد الجودة و متطلباتها

التطور التاريخي للجودة و مداخلها

الخدمة والتحسين المستمر للجودة

خطوات ومراحل تطبيق الجودة الشاملة

التميز التنافسي و عناصر الجودة

مواضيع عامة في ادارة الجودة


الادارة الاستراتيجية

الادارة الاستراتيجية: المفهوم و الاهمية و الاهداف والمبادئ

اساليب التخطيط الاستراتيجي ومراحله

التطور التاريخي للادارة الاستراتيجية

النظريات و الانظمة و القرارات و العمليات

تحليل البيئة و الرقابة و القياس

الصياغة و التطبيق و التنفيذ والمستويات

مواضيع عامة في الادارة الاستراتيجية


ادارة التسويق

ادارة التسويق : المفهوم و الاهمية و الاهداف و الانواع

استراتيجية التسويق والمزيج التسويقي

البيئة التسويقية وبحوث التسويق

المستهلك والخدمة والمؤسسات الخدمية

الاسواق و خصائص التسويق و انظمته

مواضيع عامة في ادارة التسويق


ادارة الموارد البشرية

ادارة الموارد البشرية : المفهوم و الاهمية و الاهداف و المبادئ

التطور التاريخي لادارة الموارد البشرية

استراتيجية ادارة الموارد البشرية

الوظائف والتعيينات

الحوافز والاجور

التدريب و التنمية

السياسات و التخطيط

التحديات والعولمة ونظام المعلومات

مواضيع عامة في ادارة الموارد البشرية

نظم المعلومات


علوم مالية و مصرفية


المالية العامة

الموازنات المالية

النفقات العامة

الايرادات العامة

مفهوم المالية

التدقيق والرقابة المالية

السياسات و الاسواق المالية

الادارة المالية والتحليل المالي

المؤسسات المالية والمصرفية وادارتها


الاقتصاد

مفهوم ونشأت وعلاقة علم الاقتصاد بالعلوم الاخرى

السياسة الاقتصادية والمالية والنقدية

التحليل الأقتصادي و النظريات

التكتلات والنمو والتنمية الأقتصادية

الاستثمار ودراسة الجدوى الأقتصادية

ألانظمة الاقتصادية

مواضيع عامة في علم الاقتصاد


الأحصاء

تطور علم الاحصاء و علاقته بالعلوم الاخرى

مفهوم واهمية علم الاحصاء

البيانات الأحصائية
الانحراف المعياري
المؤلف:
د.شرف الدين خليل
المصدر:
الاحصاء الوصفي
الجزء والصفحة:
ص63-67
21-4-2018
27733
الانحراف المعياري standard deviation : عند استخدام التباين كمقياس من مقاييس التشتت، نجد أنه يعتمد علي مجموع مربعات الانحرافات، ومن ثم لا يتمشى هذا المقياس مع وحدات قياس المتغير محل الدراسة ، ففي المثال السابق ،نجد أن تباين سنوات الخبرة في العينة 8.5 ، فليس من المنطق عند تفسير هذه النتيجة أن نقول ، " تباين سنوات الخبرة هو 8.5 سنة تربيع "، لأن وحدات قياس المتغير هو عدد السنوات، من أجل ذلك لجأ الإحصائيين إلى مقياس منطقي يأخذ في الاعتبار الجذر التربيعي للتباين ، لكي يناسب وحدات قياس المتغير، وهذا المقياس هو الانحراف المعياري.
إذا الانحراف المعياري ، هو الجذر التربيعي الموجب للتباين ، أي أن المعادلة رقم (4-11) :

ومثال على ذلك :
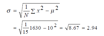
ــ في مثال(4-7) في مقياس التباين نجد أن الانحراف المعياري لسنوات الخبرة لعمال المصنع )المجتمع( ، ويرمز له بالرمز
هو :

في هذه الحالة ، يكون الانحراف المعياري لسنوات الخبرة في المجتمع هو 2.94 سنة .
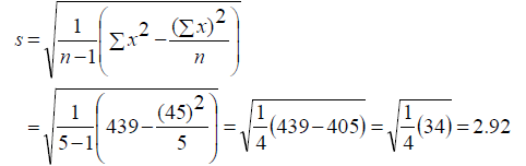
في مثال(2) السابق في التباين نجد أن الانحراف المعياري لسنوات الخبرة لعمال العينة ، ويرمز له بالرمز s هو

أي أن الانحراف المعياري لسنوات الخبرة في العينة هو 2.92 سنة .
الانحراف المعياري في حالة البيانات المبوبة :
إذا كانت بيانات الظاهرة ، مبوبة في جدول توزيع تكراري ، فإن الانحراف المعياري يحسب بتطبيق المعادلة التالية(4-12) :

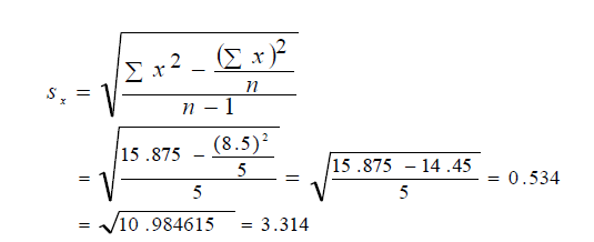
ــ في بيانات مثال(4-9) احسب الانحراف المعياري للإنفاق الشهري للأسرة ، ثم قارن بين الانحراف المتوسط ، والانحراف المعياري للإنفاق الشهري للأسرة
الحل: لحساب الانحراف المعياري للإنفاق الشهري ، تستخدم المعادلة رقم)4-12) وسوف نطبق الصيغة الثانية ، ولذا نكون جدول لحساب المجموعين

وبتطبيق المعادلة ، نجد أن الانحراف المعياري قيمته هي :

أي أن الانحراف المعياري للإنفاق الشهري 3.314 ألف ريال ، ووفقا لهذا المقياس ، فإن تشتت بيانات الإنفاق أكبر من تشتت بيانات الإنفاق وفقا لمقياس الانحراف المتوسط (2.88).
خصائص الانحراف المعياري
من خصائص الانحراف المعياري ، ما يلي :
• أولاً : الانحراف المعياري للمقدار الثابت يساوي صفرا ، أي أنه إذا كان لدينا القراءات التالية :
تعبر عن الانحراف المعياري لقيم x.
• ثانيا : إذا أضيف مقدار ثابت إلى كل قيمة من قيم المفردات، فإن الانحراف المعياري للقيم الجديدة)القيم بعد الإضافة) يساوي الانحراف المعياري للقيم الأصلية )القيم بعد الإضافة) ، فإذا كانت القيم الأصلية هي
وتم إضافة مقدار ثابت a إلى كل قيمة من قيم x فإن الانحراف المعياري للقيم الجديدة 
مثال/ إذا كان من المعلوم أن تطبيق برنامج غذائي معين للتسمين لفترة زمنية محددة سوف يزيد من وزن الدجاجة 0.5 كيلوجرام، سحبت عينة عشوائيا من مزرعة دجاج حجمها 5 دجاجات، وكانت أوزانها كالتالي 2.5, 1.25 , 2 ,1 . 1.75
1- احسب الانحراف المعياري لوزن الدجاجة.
2- إذا طبق البرنامج الغذائي المشار إليه، ما هو الانحراف المعياري لوزن الدجاجة في هذه العينة؟
الحل:


2- حساب الانحراف المعياري لوزن الدجاجة بعد تطبيق البرنامج .
كل دجاجة بعد تطبيق البرنامج، من المتوقع أن تزيد 0.5 كيلوجرام ، وهذا معناه أن الوزن بعد البرنامج هو
ويكون الانحراف المعياري للوزن الجديد مساويا أيضا للانحراف المعياري للقيم الأصلية ، أي أن :
الانحراف المعياري للوزن بعد تطبيق البرنامج يساوي 0.534 كيلوجرام .
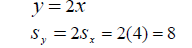
ثالثاً :أذا ضرب كل قيمة من قيم المفردات في مقدار ثابت ، فإن الانحراف المعياري للقيم الجديدة يساوي الانحراف المعياري للقيم الأصلية مضروبا في الثابت ، أي أن إذا كان قيم x هي القيم ،الأصلية ، وكانت القيم الجديدة هي y = ax : حيث أن a مقدار ثابت ، فإنx ،. s y = as
ومثال على ذلك ، إذا كان الانحراف المعياري لدرجات عينة من الطلاب هي 4 درجات ، وإذا كان التصحيح من 50 درجة ، ويراد تعديل الدرجة ليكون التصحيح من 100 درجة، ومعنى يتم ضرب كل درجة من الدرجات الأصلية في 2 ، ومن ثم يحسب الانحراف المعياري للدرجات المعدلة كالتالي :

اذاً الانحراف المعياري للدرجات المعدلة 8 درجات .

مزايا وعيوب الانحراف المعياري
من مزايا الانحراف المعياري
1- أنه أكثر مقاييس التشتت استخداما .
2- يسهل التعامل معه رياضيا .
3- يأخذ كل القيم في الاعتبار .
ومن عيوبه ، أنه يتأثر بالقيم الشاذة .
الاكثر قراءة في البيانات الأحصائية
اخر الاخبار
اخبار العتبة العباسية المقدسة
الآخبار الصحية

قسم الشؤون الفكرية يصدر كتاباً يوثق تاريخ السدانة في العتبة العباسية المقدسة
"المهمة".. إصدار قصصي يوثّق القصص الفائزة في مسابقة فتوى الدفاع المقدسة للقصة القصيرة
(نوافذ).. إصدار أدبي يوثق القصص الفائزة في مسابقة الإمام العسكري (عليه السلام)