

المحاسبة

تطور الفكر المحاسبي

الافصاح والقوائم المالية

الرقابة والنظام المحاسبي

نظرية ومعايير المحاسبة الدولية

نظام التكاليف و التحليل المحاسبي

نظام المعلومات و القرارات الادارية

مواضيع عامة في المحاسبة

مفاهيم ومبادئ المحاسبة


ادارة الاعمال


الادارة

الادارة: المفهوم والاهمية والاهداف والمبادئ

وظائف المدير ومنظمات الاعمال

الادارة وعلاقتها بالعلوم الاخرى

النظريات الادارية والفكر الاداري الحديث

التطور التاريخي والمدارس والمداخل الادارية


وظيفة التخطيط

انواع التخطيط

خطوات التخطيط ومعوقاته

مفهوم التخطيط واهميته


وظيفة التنظيم

العملية التنظيمية والهيكل التنظيمي

مفهوم التنظيم و مبادئه


وظيفة التوجيه

الاتصالات

انواع القيادة و نظرياتها

مفهوم التوجيه واهميته


وظيفة الرقابة

انواع الرقابة

خصائص الرقابة و خطواتها

مفهوم الرقابة و اهميتها

اتخاذ القرارات الادارية لحل المشاكل والتحديات

مواضيع عامة في الادارة

المؤسسات الصغيرة والمتوسطة


ادارة الانتاج

ادارة الانتاج: المفهوم و الاهمية و الاهداف و العمليات

التطور التاريخي والتكنلوجي للانتاج

نظام الانتاج وانواعه وخصائصه

التنبؤ والتخطيط و تحسين الانتاج والعمليات

ترتيب المصنع و التخزين والمناولة والرقابة

الموارد البشرية والامداد والتوريد

المالية والمشتريات والتسويق

قياس تكاليف وكفاءة العمل والاداء والانتاج

مواضيع عامة في ادارة الانتاج


ادارة الجودة

الجودة الشاملة: المفهوم و الاهمية و الاهداف و المبادئ

نظام الايزو ومعايير الجودة

ابعاد الجودة و متطلباتها

التطور التاريخي للجودة و مداخلها

الخدمة والتحسين المستمر للجودة

خطوات ومراحل تطبيق الجودة الشاملة

التميز التنافسي و عناصر الجودة

مواضيع عامة في ادارة الجودة


الادارة الاستراتيجية

الادارة الاستراتيجية: المفهوم و الاهمية و الاهداف والمبادئ

اساليب التخطيط الاستراتيجي ومراحله

التطور التاريخي للادارة الاستراتيجية

النظريات و الانظمة و القرارات و العمليات

تحليل البيئة و الرقابة و القياس

الصياغة و التطبيق و التنفيذ والمستويات

مواضيع عامة في الادارة الاستراتيجية


ادارة التسويق

ادارة التسويق : المفهوم و الاهمية و الاهداف و الانواع

استراتيجية التسويق والمزيج التسويقي

البيئة التسويقية وبحوث التسويق

المستهلك والخدمة والمؤسسات الخدمية

الاسواق و خصائص التسويق و انظمته

مواضيع عامة في ادارة التسويق


ادارة الموارد البشرية

ادارة الموارد البشرية : المفهوم و الاهمية و الاهداف و المبادئ

التطور التاريخي لادارة الموارد البشرية

استراتيجية ادارة الموارد البشرية

الوظائف والتعيينات

الحوافز والاجور

التدريب و التنمية

السياسات و التخطيط

التحديات والعولمة ونظام المعلومات

مواضيع عامة في ادارة الموارد البشرية

نظم المعلومات


علوم مالية و مصرفية


المالية العامة

الموازنات المالية

النفقات العامة

الايرادات العامة

مفهوم المالية

التدقيق والرقابة المالية

السياسات و الاسواق المالية

الادارة المالية والتحليل المالي

المؤسسات المالية والمصرفية وادارتها


الاقتصاد

مفهوم ونشأت وعلاقة علم الاقتصاد بالعلوم الاخرى

السياسة الاقتصادية والمالية والنقدية

التحليل الأقتصادي و النظريات

التكتلات والنمو والتنمية الأقتصادية

الاستثمار ودراسة الجدوى الأقتصادية

ألانظمة الاقتصادية

مواضيع عامة في علم الاقتصاد


الأحصاء

تطور علم الاحصاء و علاقته بالعلوم الاخرى

مفهوم واهمية علم الاحصاء

البيانات الأحصائية
استخدام مقاييس النزعة المركزية في تحديد شكل توزيع البيانات
المؤلف:
د.شرف الدين خليل
المصدر:
الاحصاء الوصفي
الجزء والصفحة:
43- 46
18-4-2018
16232
استخدام مقاييس النزعة المركزية في تحديد شكل توزيع البيانات : يمكن استخدام الوسط الحسابي والوسيط والمنوال في وصف المنحنى التكراري، والذي يعبر عن شكل توزيع البيانات ، كما يلي : شكل ) 3-7)

• يكون المنحنى متماثل إذا كان : الوسط = الوسيط = المنوال .
• يكون المنحنى موجب الالتواء (ملتوي جهة اليمين ) إذا كان: الوسط > الوسيط > المنوال .
• يكون المنحنى سالب الالتواء (ملتوي جهة اليسار) إذا كان : الوسط < الوسيط < المنوال .
قام مدير مراقبة الإنتاج بسحب عينة من10عبوات من المياه المعبأة للشرب ، ذات الحجم 5 لتر ، والمنتجة بواسطة إحدى شركات تعبئة المياه لفحص كمية الأملاح الذائبة، وكانت كالتالي : 115 123 119 123 124 119 123 121 123 121
والمطلوب : حساب الوسط الحسابي، والوسيط، والمنوال، ثم حدد شكل الالتواء لهذه البيانات
الحل:
حساب الوسط الحسابي :

حساب الوسيط :
رتبة الوسيط 5.5 = n +1) / 2 = (10 +1) / 2) )
ترتيب القيم تصاعديا

عدد القيم =10، وهو عدد زوجي. الوسيط = الوسط الحسابي للقيمتين رقم ( 5,6)

حساب المنوال :
المنوال يساوى القيمة الأكثر تكرارا: القيمة 123 تكررت أكثر من غيرها ، إذا 123 = Mod
وبمقارنة الوسط والوسيط و المنوال نجد أن

نجد أن: الوسط < الوسيط < المنوال ، إذا توزيع بيانات كمية الأملاح سالبة الالتواء.
مثال(2) الجدول التكراري التالي يعرض توزيع 100 عامل في مزرعة حسب الأجر اليومي بالريال.
والمطلوب :
• حساب الوسط والوسيط والمنوال .
• بيان شكل توزيع الأجور في هذه المزرعة .
الحل:
• حساب الوسط والوسيط والمنوال .
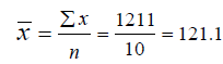
أولاً : الوسط الحسابي

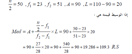
ثانياً : الوسيط Med
رتبة الوسيط (50 (n/2 =100/2 =
تكوين التوزيع التكراري المتجمع الصاعد.

من الجدول أعلاه نجد أن :

ثالثاً : المنوال Mod الفئة المنوالية ، هي الفئة المناظرة لأكبر تكرار أكبر تكرار = 28 ، وهو يناظر الفئة التقريبية(100-90)
حساب الفروق 13 2 = 28 - 20 = 8 , d1 = 28 -15 = d
الحد الأدنى للفئة =: 90 ، A طول الفئة: 20 L = 110 - 90
إذا المنوال يحسب بتطبيق المعادلة التالية :

• بيان شكل التوزيع من النتائج السابقة ، نجد أن :
الوسط الحسابي : 113.4 ، الوسيط : 109.3 = Med ، المنوال : 1024= Mod أي أن : الوسط > الوسيط > المنوال ، إذاً توزيع بيانات الأجور موجب الالتواء.
كما هو مبين في الشكل التالي:

الاكثر قراءة في البيانات الأحصائية
اخر الاخبار
اخبار العتبة العباسية المقدسة
الآخبار الصحية

قسم الشؤون الفكرية يصدر كتاباً يوثق تاريخ السدانة في العتبة العباسية المقدسة
"المهمة".. إصدار قصصي يوثّق القصص الفائزة في مسابقة فتوى الدفاع المقدسة للقصة القصيرة
(نوافذ).. إصدار أدبي يوثق القصص الفائزة في مسابقة الإمام العسكري (عليه السلام)